Предмет: Алгебра, автор: worldoftanks2044

Помогите с решением log-ов

Приложения:

Ответы

Автор ответа: Доберманопа
1

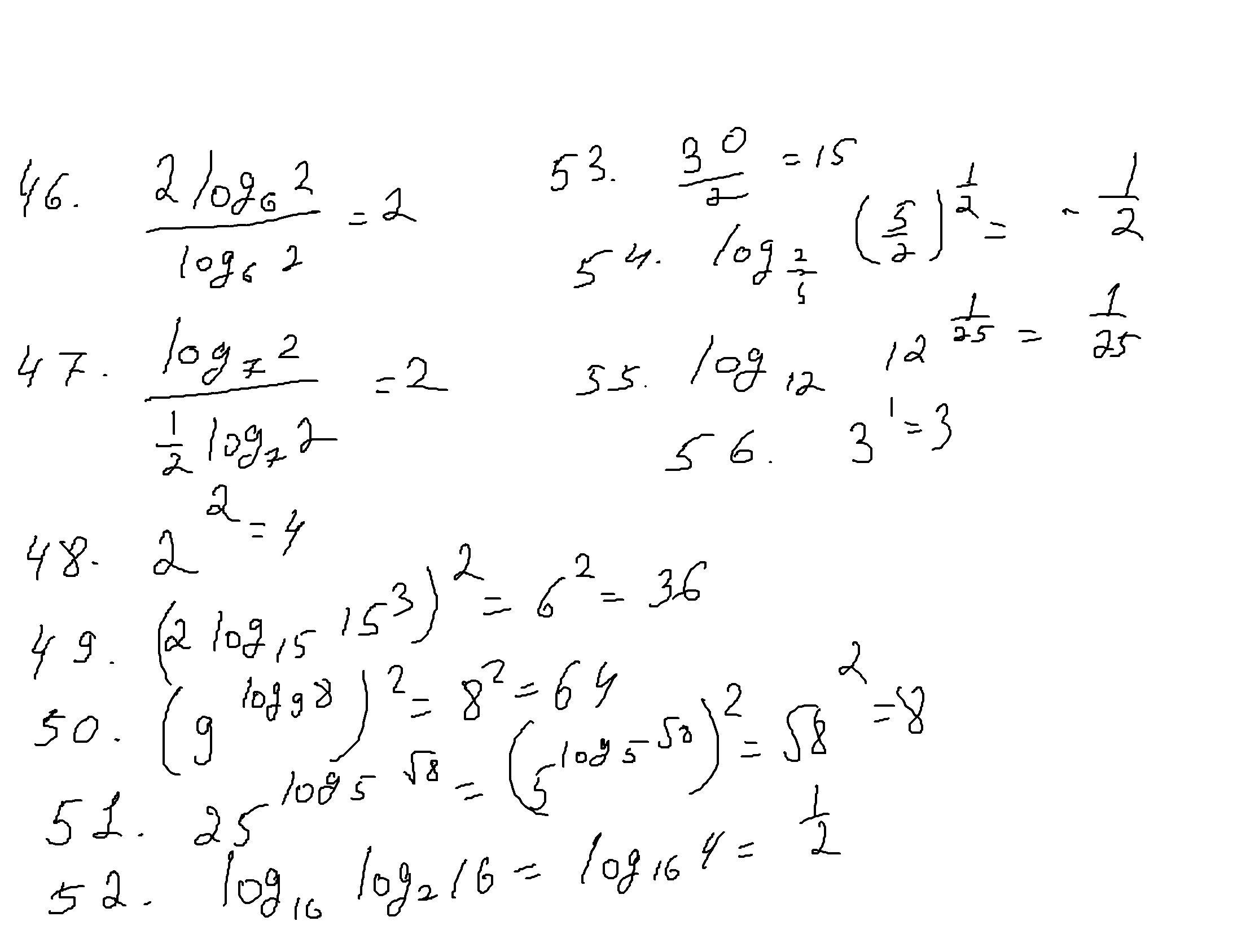
Ответ:Для матт класса раз плюнуть

Объяснение:

Смотри фото

Приложения:

worldoftanks2044: спасибо!
Доберманопа: Пожалуйста, в 41 не целое число получается, там ошибка в условии, никак не посчитать
worldoftanks2044: хорошо!
Автор ответа: studyprogrammer2019
1

Ответ:

В 41 не получается число у меня, а так все ок, пользуйся

Объяснение:

Приложения:
Похожие вопросы
Предмет: Английский язык, автор: dizsrickchannel
Предмет: Русский язык, автор: baskaaminov
Предмет: Русский язык, автор: baskaaminov0