Предмет: Математика,
автор: Ruuuuuslanaaa
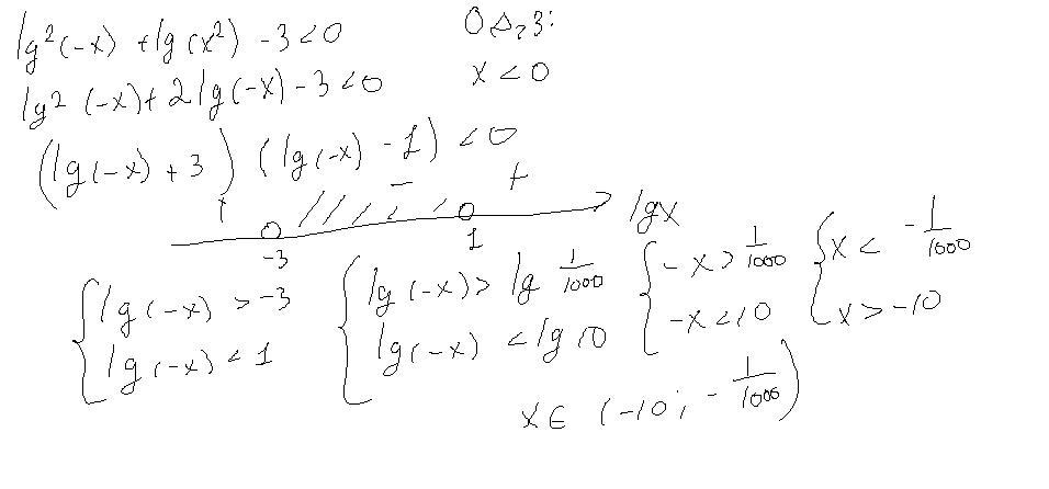
lg²(-x)+lg(x²)-3<0
Помогите пожалуйста
Ответы
Автор ответа:
1
Ответ:
Очень важно расписать ОДЗ тут
Пошаговое объяснение:
Приложения:
Похожие вопросы
Предмет: Английский язык,
автор: dizsrickchannel
Предмет: Русский язык,
автор: baskaaminov
Предмет: Русский язык,
автор: baskaaminov0
Предмет: Математика,
автор: катюша468
Предмет: Физика,
автор: дияра6