Предмет: Физика,
автор: Ddttt
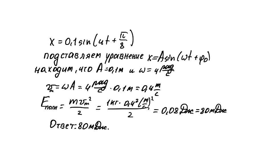
рівняння руху тягарця на пружині x=0.1sin(4t+(pi:8), маса 1 кг. визначте повну енергію коливальної системи
Ответы
Автор ответа:
2
Ответ: 80 мДж.................
Приложения:
Похожие вопросы
Предмет: Геометрия,
автор: rurididkd64
Предмет: Окружающий мир,
автор: senpaiixxd
Предмет: Английский язык,
автор: ruslanorazayevich
Предмет: История,
автор: annatitova198
Предмет: Математика,
автор: guncha22