Предмет: Алгебра,
автор: vredinka77
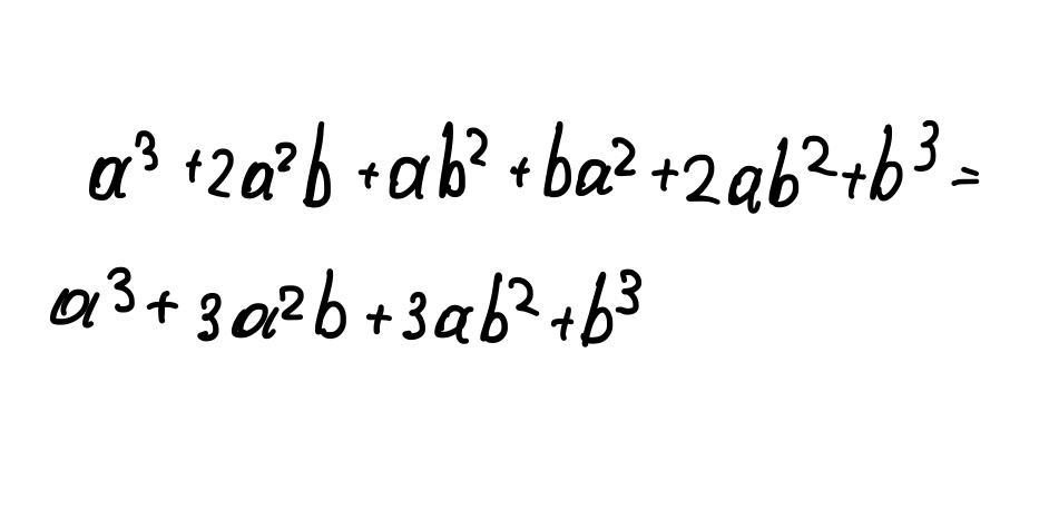
приведите пожалуйста подобные
Приложения:
Ответы
Автор ответа:
1
Вот.................
Приложения:
Похожие вопросы
Предмет: Геометрия,
автор: Taneva
Предмет: Биология,
автор: rzayevaqil138
Предмет: Русский язык,
автор: chggg
Предмет: Математика,
автор: Рина7688