Предмет: Алгебра,
автор: Мylatka
Правильный ответ отмечу как лучший!!!
Приложения:
Ответы
Автор ответа:
1
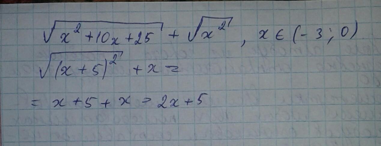
Ответ:
2x+5
Объяснение:
..................................
Приложения:
Похожие вопросы
Предмет: Химия,
автор: almarkusmanov
Предмет: Биология,
автор: amazinggenius
Предмет: Математика,
автор: niqush20aprel
Предмет: Математика,
автор: Poninka
Предмет: Литература,
автор: быченок1123