Предмет: Математика,
автор: dorenota
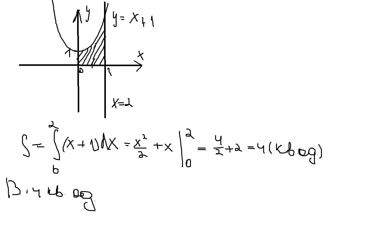
Знайдіть площу фігури, обмеженої лініями
f(x) = x(во второй степени) +1, y=0, x=0, x=2
Ответы
Автор ответа:
1
Ответ:
Пошаговое объяснение:
ось і все
Приложения:
Похожие вопросы
Предмет: Геометрия,
автор: jananaevsultan
Предмет: Математика,
автор: aygyunmamedova68
Предмет: Математика,
автор: Redbullchiki
Предмет: Литература,
автор: lizamart10
Предмет: Математика,
автор: sofiyamir20051