Предмет: Алгебра,
автор: ychitelmatematik
помогите пожалуйста помогите
Приложения:
Ответы
Автор ответа:
0
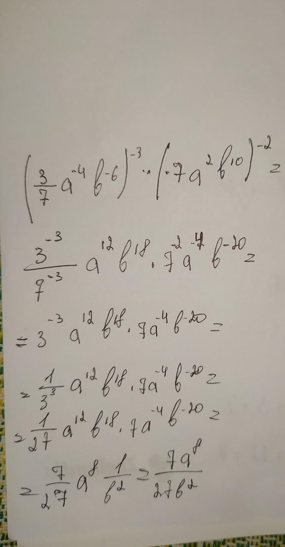
Объяснение:
один із способів) підносила всі значення в дужках до степіня
Приложения:
Похожие вопросы
Предмет: Русский язык,
автор: viktoriagorbunova20
Предмет: Русский язык,
автор: kaktussikk
Предмет: Алгебра,
автор: tkacenkoalina40
Предмет: История,
автор: Pochemuchka10
Предмет: Математика,
автор: даша2287