Предмет: Алгебра,
автор: lyudasokolova54
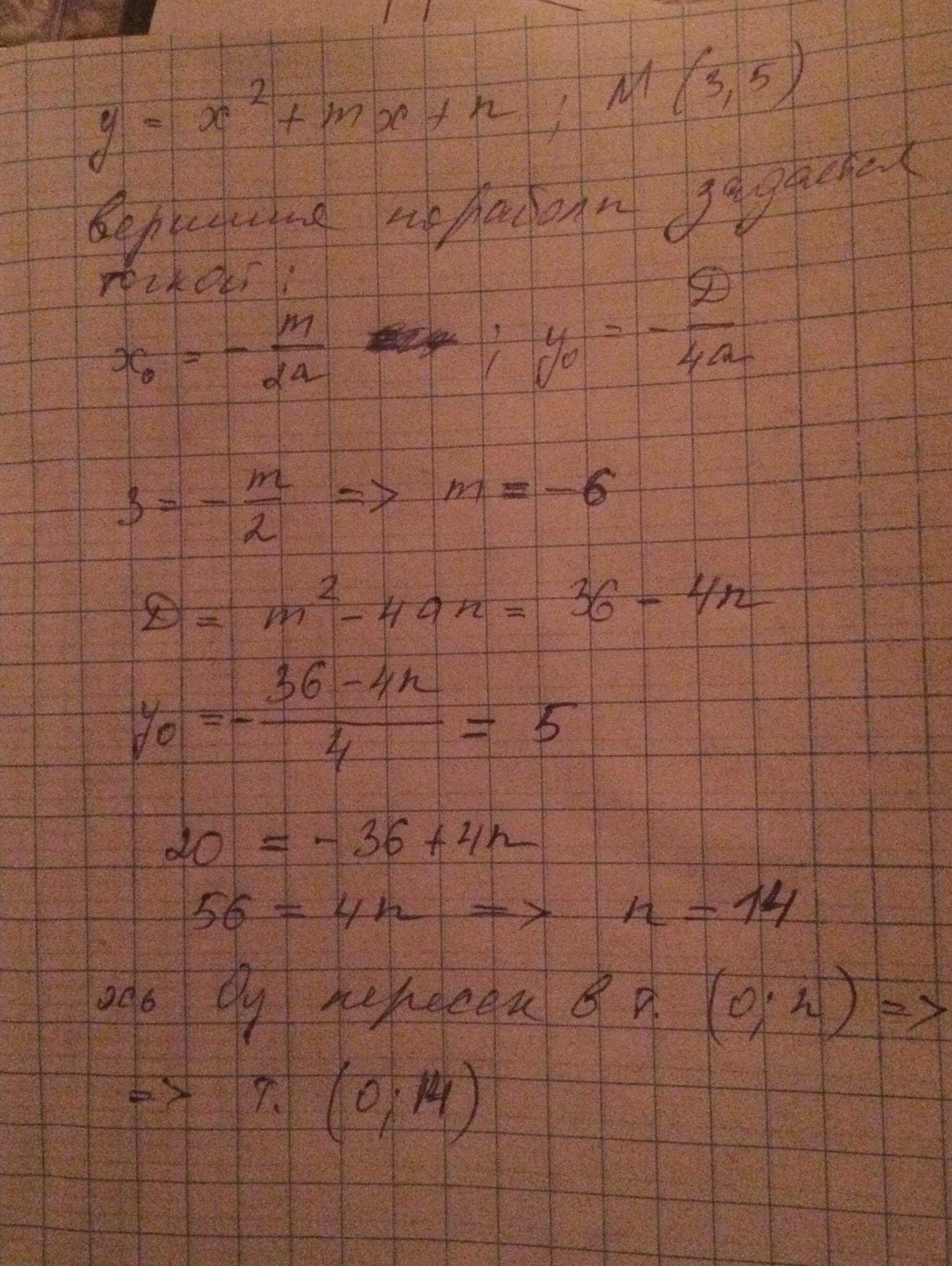
Точка M (3, 5) является вершиной параболы

.
Найдите: a) m и n; б) в каких точках график пересекает ось y
Ответы
Автор ответа:
0
Ответ: m=-6, n=14.
Ось Оу пересекает в т.(0;14)
Объяснение:
Приложения:
Автор ответа:
0
а) решение во вложении
б) когда график функции пересекает ось у, координата х=0, подставляем это в наше уравнение:
у=0²-6*0+14, у=14
график пересекает ось у в точке (0;14)
Приложения:
Похожие вопросы
Предмет: Биология,
автор: karapetanklara
Предмет: Алгебра,
автор: aosrasd
Предмет: Математика,
автор: slavikcapello
Предмет: Литература,
автор: капюшон12