Предмет: Алгебра,
автор: ruslana413
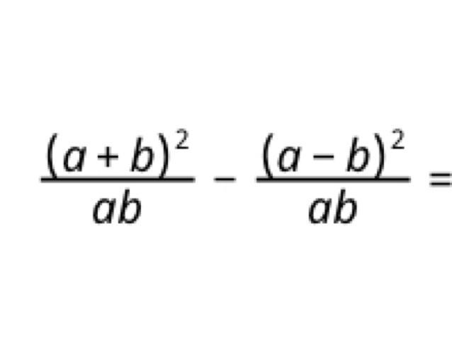
Упростите выражение
Помогите пожалуйста!
Приложения:
Ответы
Автор ответа:
0
(a + b)²/ab - (a - b)²/ab = (a² + 2ab + b² - (a² - 2ab + b²))/ab = 4ab/ab = 4
Похожие вопросы
Предмет: Музыка,
автор: p338477
Предмет: Русский язык,
автор: Аноним
Предмет: Английский язык,
автор: kirya0411andreev67
Предмет: Химия,
автор: gisugayix