Предмет: Математика,
автор: zarina11031313
помогите чтоб получилось -12
Приложения:
liikikiw:
какого именно?
возможно, могу помочь
Ответы
Автор ответа:
2
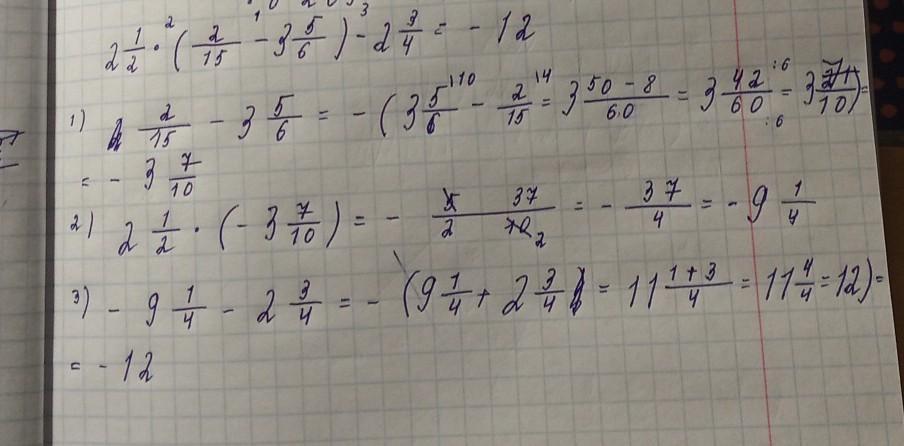
Ответ: -12
Объяснение на фото
Приложения:
Какие конкретно задания в номере надо объяснить?
прости, нет воемени на всё
не буду и не могу делать всё, так как сейчас нк даю ответ на твой вопрос. могу пояснить самое непонятное тебе задание
ты хочешь, чтобы я решила тебе весь номер, а я предлагаю тебе бесценное объяснение и беспокойное участие в объяснении
Похожие вопросы
Предмет: Алгебра,
автор: Takitaki4578
Предмет: Математика,
автор: mar1avas1l1vna
Предмет: Математика,
автор: andreysidoruk71
Предмет: Математика,
автор: Arina524631
Предмет: Математика,
автор: tihon1211911