Предмет: Алгебра,
автор: MSC98
Решите производную пожалуйста
Приложения:
Ответы
Автор ответа:
0
Ответ:...............................
Приложения:
задай этот вопрос отдельным постом
Уже задал
Помоги прошу тебя, если не отвечу на эту задачу меня отчислят
у тебя вся ночь впереди
Поможешь?
неа
Автор ответа:
1
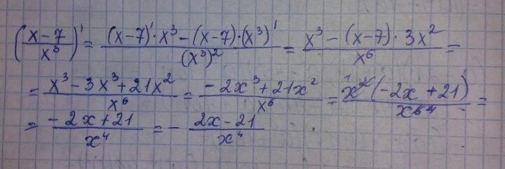
Решение на фотографии
Приложения:
А ты сможешь помочь по теории вероятности, у меня есть задачка
В группе м1111 учатся 27 учеников, из них 18 девочек и 9 мальчиков. Выбирают 8 уч, из них 5 девочек и 3 мальчиков.
Найдите вероятность того, что попадутся 5 девочек и 3 мальчика.
Решите через сочетание и факториал нужно сократить
Пожалуйста
Найдите вероятность того, что попадутся 5 девочек и 3 мальчика.
Решите через сочетание и факториал нужно сократить
Пожалуйста
К сожалению, не смогу помочь. Давно не работала с теорией вероятности.
(((
Если нужна будет помощь по математике и алгебре куда я могу писать Вам?
Сообщения и записи на стенах, к сожалению, отключили... Поэтому либо в комментариях (здесь же можно ссылку на вопрос указывать), либо просто задавая вопрос
Похожие вопросы
Предмет: Английский язык,
автор: minkasvitlana
Предмет: Математика,
автор: ilyaguminski02
Предмет: Литература,
автор: kamiloid1209
Предмет: Алгебра,
автор: Tiashi
Предмет: Геометрия,
автор: Бачурская
Найдите вероятность того, что попадутся 5 девочек и 3 мальчика.
Решите через сочетание и факториал нужно сократить
Пожалуйста