Предмет: Геометрия,
автор: popopo0
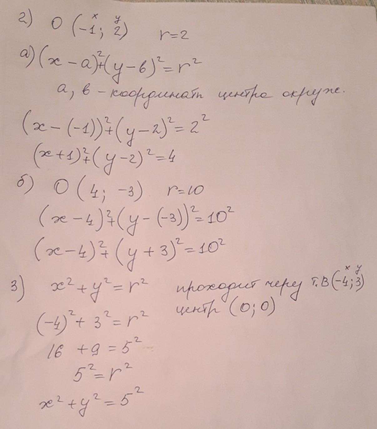
ПОМОГИТЕ ПОЖАЛУЙСТА РЕШИТЬ 2 И 3 ЗАДАНИЕ СПРАВА
Приложения:
Ответы
Автор ответа:
1
Ответ:
Уравнение окружности.
Ответ во вложении
Приложения:
popopo0:
Спасибо большое
Автор ответа:
1
Ответ: во вложении Объяснение:
Приложения:
Похожие вопросы
Предмет: Математика,
автор: asdvv
Предмет: Литература,
автор: bekzatspan4
Предмет: Химия,
автор: umbetovadiora
Предмет: Математика,
автор: fainakarpovak