Предмет: Алгебра,
автор: Аноним
Помогите пожалуйста
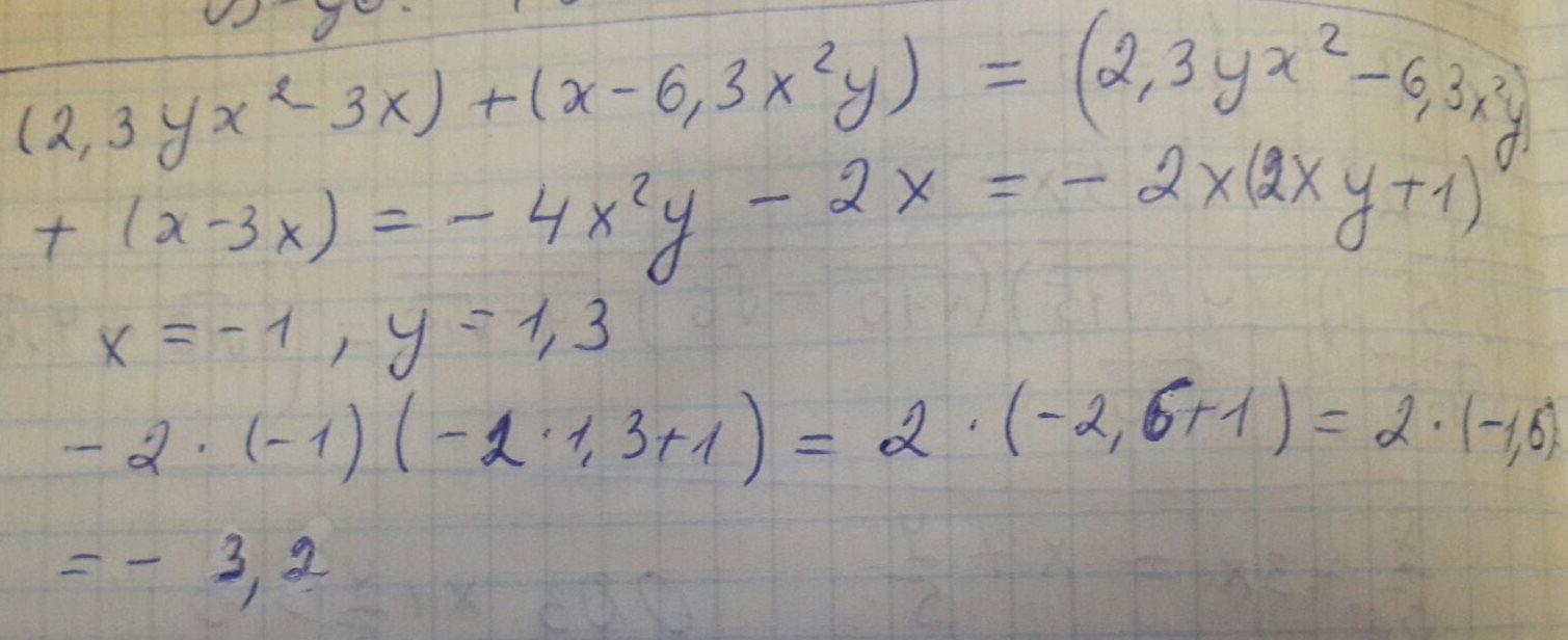
Найдите значение выражения (2,3yx²-3x)+(x-6,3x²y)
При x=-1 и y=1,3.
Ответы
Автор ответа:
2
Відповідь:
-3.2
Пояснення:
Приложения:
Аноним:
у меня тут даны варианты ответов. а) - 3,2 б) 3,2 в) 7,2 г) - 7,2
Переробила
Похожие вопросы
Предмет: Алгебра,
автор: AlisaGrand14
Предмет: Химия,
автор: vita1334
Предмет: Биология,
автор: naka89jwnkz89
Предмет: Математика,
автор: Супер1154686
Предмет: Литература,
автор: ladache2000