Предмет: Алгебра,
автор: deargele4ka
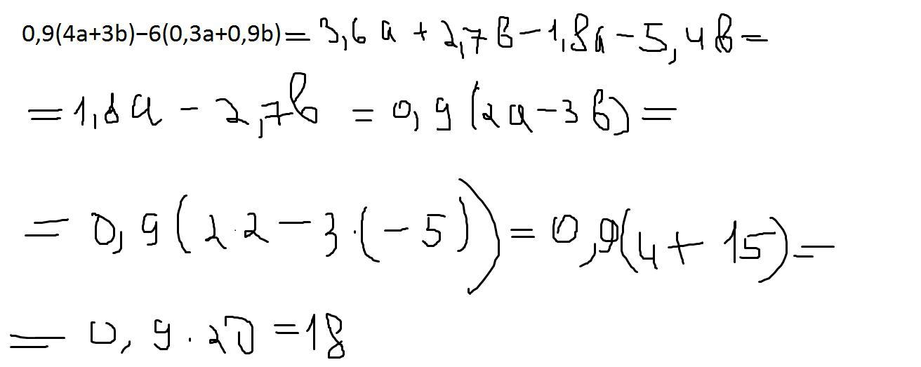
Найди значение алгебраического выражения 0,9(4a+3b)−6(0,3a+0,9b)
при a=2,b=−5.
Ответы
Автор ответа:
2
При а = 2, b = -5
0,9(4a+3b)–6(0,3a+0,9b) = 0,9(4*2+3*(-5))–6(0,3*2+0,9*(-5)) = 0,9*(8-15)–6*(0,6-4,5) = -6,3+23,4 = 17,1
Автор ответа:
0
Ответ:
Объяснение:
вот и все
Приложения:
Похожие вопросы
Предмет: Кыргыз тили,
автор: Yilinglaozu05
Предмет: Математика,
автор: sasakaplina873
Предмет: Алгебра,
автор: arisha1810
Предмет: Химия,
автор: САНТАЛОВА