Предмет: Математика,
автор: alekseynikolenko66
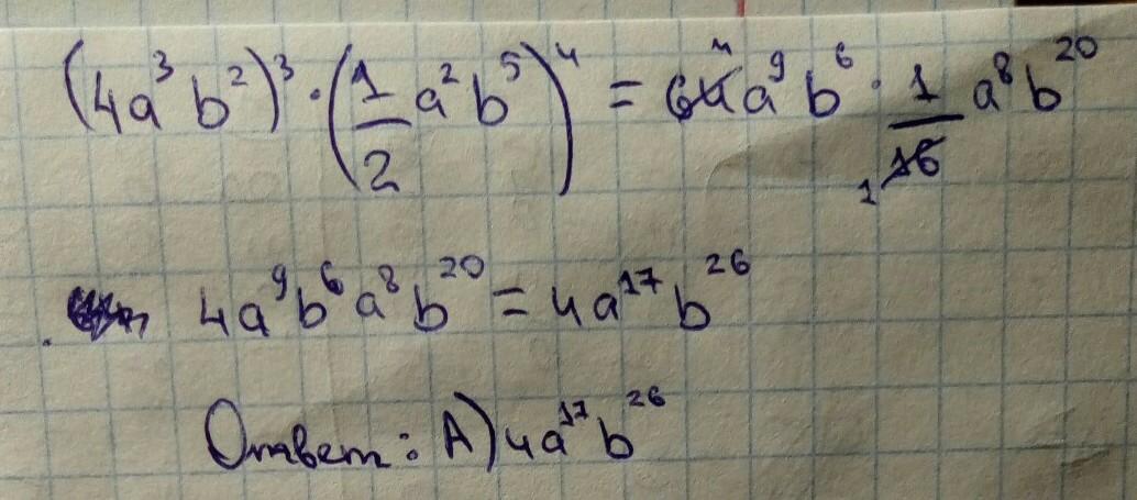
Помогите решить задание пожалуйста
Приложения:
Ответы
Автор ответа:
0
ответ: вариант "А" (на фотографии).
Приложения:
Похожие вопросы
Предмет: Химия,
автор: Скриппи
Предмет: Химия,
автор: smatovglebas
Предмет: Химия,
автор: moskaltima1
Предмет: Математика,
автор: zharky
Предмет: Алгебра,
автор: Linn666