Предмет: Математика, автор: maksimmahor

Решите: Алгебра 9 класс
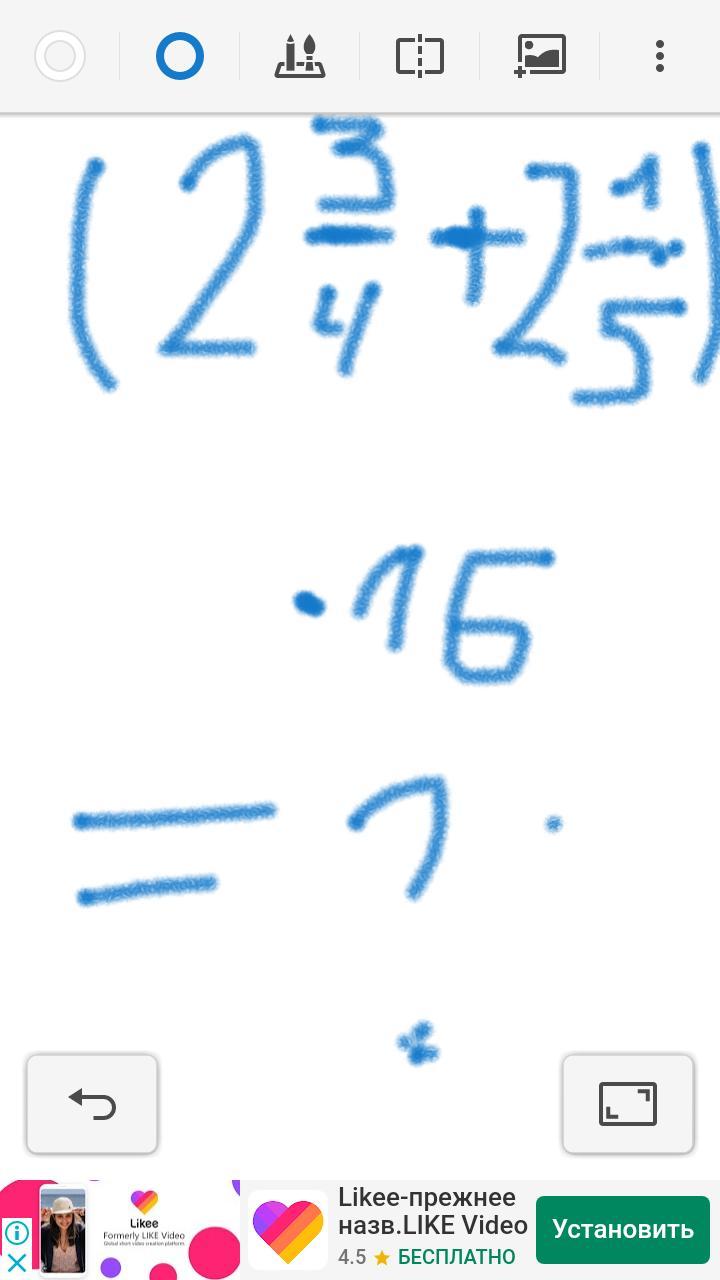
1) действия в скобках (сложение) ,2) нужно умножить на 16
Пример в фоте

Приложения:

Ответы

Автор ответа: arqus
1

Ответ:

79 \frac{1}{5}

Пошаговое объяснение:

Решение на рисунке

Приложения:
Похожие вопросы
Предмет: История, автор: footballtimipr
Срочно!Дам 100 балов!
Виправити помилки у наведеному тексті . «Данило Василькович Галицький – князь волинський і галицький, король Русі з 1258 р. Після смерті батька у 1199 р., рятуючись від боярських заворушень, разом з матір’ю та братом Левом перебував при дворі французького короля. Об’єднав Волинь, здобув Галич 1223 р. та Київ 1245 р.). Розгромив німецьких рицарів-хрестоносців під Ярославом у 1238., здобув перемогу над військом угорського князя під Любліном у 1245 р. Після встановлення монголо-татарського панування був змушений їхати до хана Чингісхана і визнати залежність від Золотої Орди, хоча фактично їй не підкорився. Погодився на укладення унії з Папою Римським Іннокентієм ІV, прийняв від нього корону, розраховуючи на спільний похід проти монголо-татар. Заснував міста Львів, Кременець, поширював західну культуру. Помер у 1246 р., похований у м. Холм»​
Предмет: География, автор: Sashunya1311Sasha
Предмет: Математика, автор: ЭммаЯкубовская