Предмет: Алгебра,
автор: dneprua208
очень срочноооооо 245 номер номер помогите
Приложения:
Ответы
Автор ответа:
1
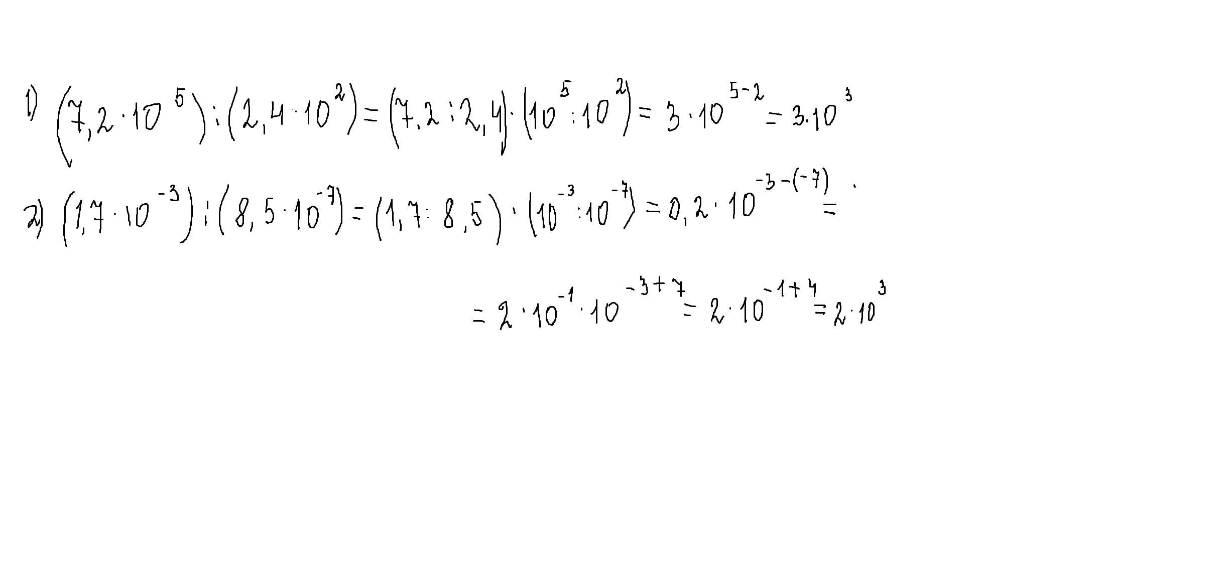
Ответ:
Объяснение:
решение смотри внизу
Приложения:
dneprua208:
спасибо большое
пожалуйста
Похожие вопросы
Предмет: Физика,
автор: Fodiud
Предмет: Химия,
автор: roksik32
Предмет: История,
автор: ulyabandus
Предмет: Алгебра,
автор: ЛедиБаг51
Предмет: Математика,
автор: marinachernoly