Предмет: Алгебра,
автор: ЛедиБаг51
помогите пожалуйста сделать 1 номер, очень срочно. 20 баллов
Приложения:
Ответы
Автор ответа:
0
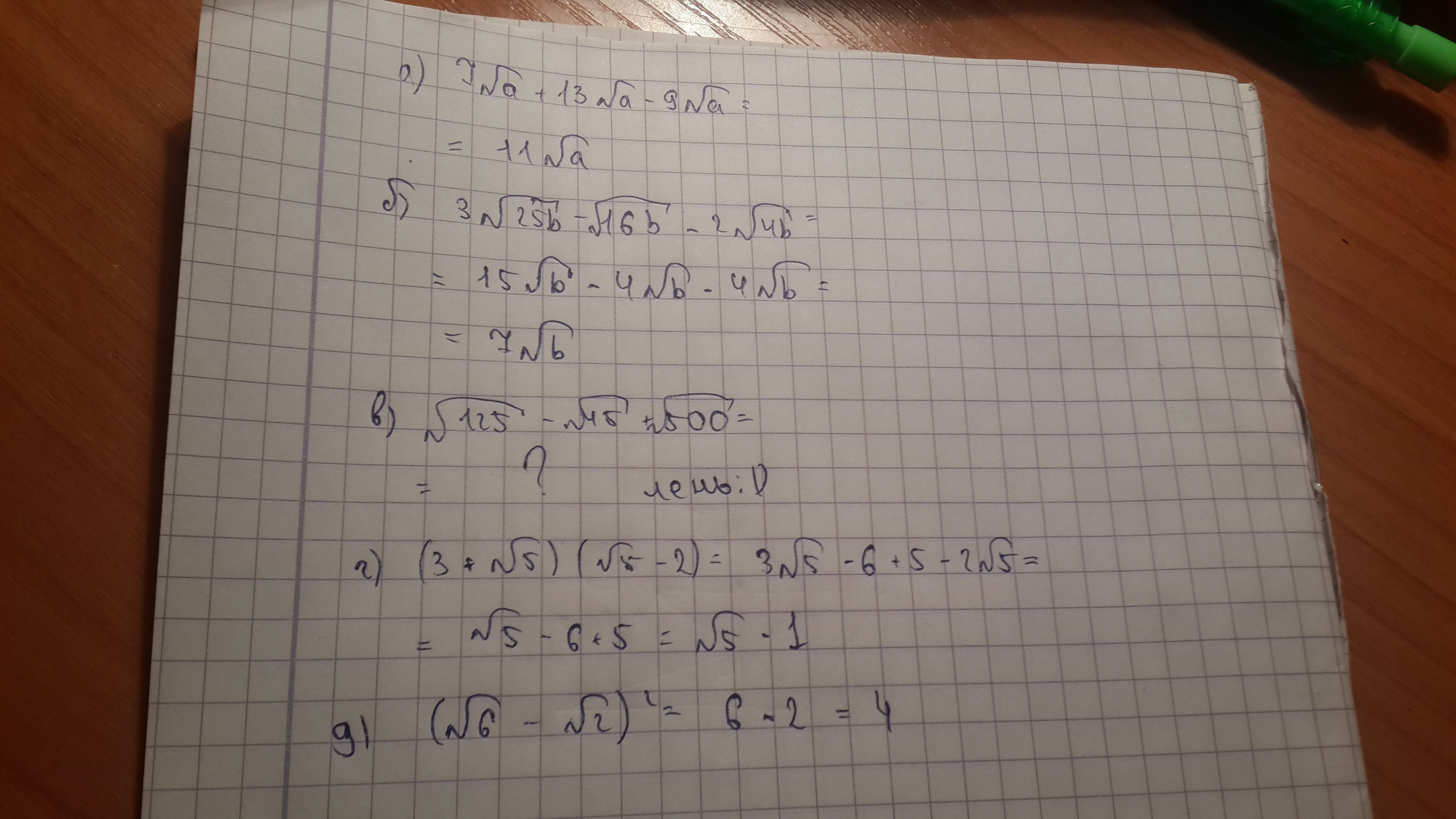
Все на фото (кроме в) , должно быть понятно.
Приложения:
Автор ответа:
0
нет, не загружается
Автор ответа:
0
Ну блин..ничего не могу с этим сделать
Автор ответа:
0
можешь отправить в вы?
Автор ответа:
0
вк
Автор ответа:
0
Да. Могу. Скажи ник и город
Похожие вопросы
Предмет: Химия,
автор: Hanter213
Предмет: Английский язык,
автор: Аноним
Предмет: Русский язык,
автор: Аноним
Предмет: Физика,
автор: andrejchashin
Предмет: Математика,
автор: zaharova7676