Предмет: Алгебра, автор: Myatabronder78

Докажите неравенства:

Приложения:

Ответы

Автор ответа: mmb1
1

x^2 + 5y^2 + 2xy + 4y + 3 > 0

x^2 + 2xy + y^2 + 4y^2 + 4y + 1 + 2 > 0

(x + y)^2 + (2y + 1)^2 + 2 > 0

сумма квадрата он всегда больше равен 0, + второй квадрат (он больше равен 0) + положительное число - всегда больше 0

==========================

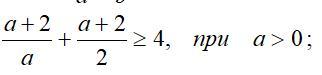
(a + 2)/a + (a + 2)/2 >= 4   a>0

1 + 2/a + a/2 + 1 >= 4

2/a + a/2 - 2 >= 0

(4 + a^2 - 4a)/2a >= 0

(a - 2)^2/2a >=0

знаменатель больше равен 0, числитель больше нуля при a>0

доказали

=========================

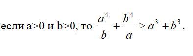
a^4/b + b^4/a >= a^3 + b^3    a>0  b>0

a^n + b^n =  (a + b)(a^(n-1) - a^(n-2)b + ..... - ab^(n-2) + b^(n-1)) n - нечетное

приводим к общему знаменателю

(a^5 + b^5)/ab - ab(a^3 + b^3)/ab > = 0

((a + b)(a^4 - a^3b + a^2b^2 - ab^3 + b^4) - ab(a+b)(a^2 - ab + b^2))/ab >= 0

(a+b)/ab * (a^4 + 2a^2b^2 + b^4 - 2ab(a^2 + b^2)) >= 0

(a+b)/ab * ((a^2 + b^2)^2  - 2ab(a^2 + b^2)) >= 0

(a+b)(a^2 + b^2)/ab * (a^2 + b^2  - 2ab) >= 0

(a+b)(a^2 + b^2)(a - b)^2/ab >= 0

знаменатель больше 0

в числителе первый множитель больше 0, второй больше 0, третий больше равен 0

доказали

Похожие вопросы
Предмет: Математика, автор: bogdansizonenko1
Предмет: Математика, автор: M41or