Предмет: Алгебра,
автор: Brighs
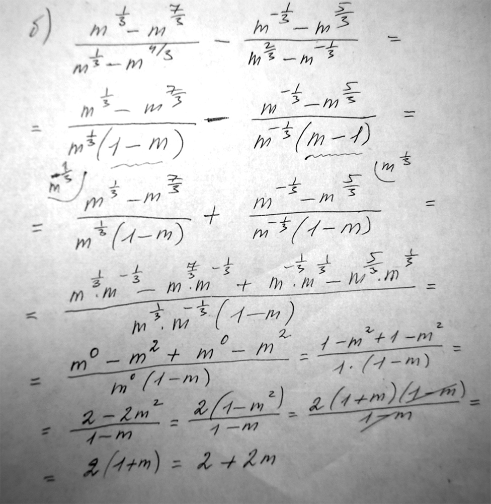
Решите, пожалуйста. Задание во вложении
Приложения:
Ответы
Автор ответа:
0
.....................................................
Приложения:
Автор ответа:
0
Решение во вложениях:
Приложения:
Автор ответа:
0
спасибо большое!
Похожие вопросы
Предмет: География,
автор: SHSHDH22
Предмет: Қазақ тiлi,
автор: islamkuraev777
Предмет: Оʻzbek tili,
автор: alimkulalimchik
Предмет: Математика,
автор: slenderz
Предмет: Математика,
автор: Сиренна