Предмет: Математика,
автор: tripsoul
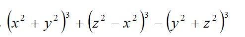
упростить выражение!!!!!!!!!!!!!!!!!!!!!!!!!!!!!!!!!!!!!!!!!!!!!!!!!!!!!!!!
Приложения:
Ответы
Автор ответа:
0
1) (x² + y²)³ = x⁶ + 3x⁴y² + 3x²y⁴ + y⁶
2) (z² - x²)³ = z⁶ - 3x²z⁴ + 3x⁴z² - x⁶
3) -(y² + z²)³ = -y⁶ - 3y⁴z² - 3y²z⁴ - z⁶
4) x⁶ + 3x⁴y² + 3x²y⁴ + y⁶ + z⁶ - 3x²z⁴ + 3x⁴z² - x⁶ - y⁶ - 3y⁴z² - 3y²z⁴ - z⁶ =
= 3x⁴y² + 3x²y⁴ - 3x²z⁴ + 3x⁴z² - 3y⁴z² - 3y²z⁴
Похожие вопросы
Предмет: Русский язык,
автор: bashirovamadina08
Предмет: Информатика,
автор: pro1smail
Предмет: Химия,
автор: Badimys
Предмет: Алгебра,
автор: ИллюзИон
Предмет: Литература,
автор: gayzetdinovadi