Предмет: Алгебра,
автор: dimanmiller4848
пожалуйста срочно помогите
Приложения:
Ответы
Автор ответа:
0
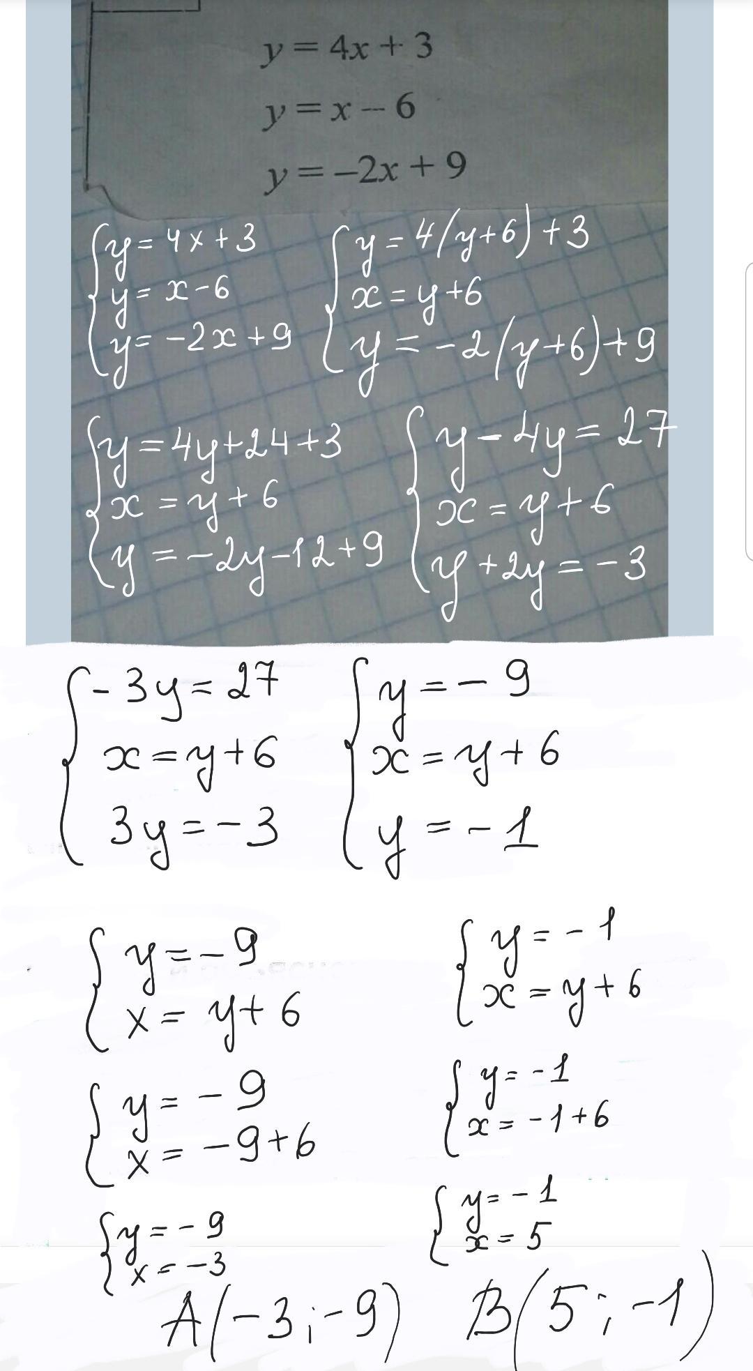
Точек пересечения будет три.
Приложения:
Похожие вопросы
Предмет: Алгебра,
автор: mitinamarina255
Предмет: Литература,
автор: shlopaa
Предмет: Математика,
автор: xxxqiip
Предмет: Физика,
автор: ваня1024
Предмет: История,
автор: Littlestupidgirlowo