Предмет: Математика,
автор: dfytxrfnsvjq
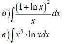
Помогите, пожалуйста, с неопределенными интегралами
Приложения:
Ответы
Автор ответа:
0
Посмотрите предложенное решение. Решение первого задания базируется на подведении под знак дифференциала, второго - по частям.
Приложения:
Похожие вопросы
Предмет: Литература,
автор: Аноним
Предмет: Математика,
автор: Katya20000000000009
Предмет: Алгебра,
автор: matuhaksenia775
Предмет: Математика,
автор: Александра4523
Предмет: Химия,
автор: emelianov200220