Предмет: Алгебра,
автор: ggggggggggdt
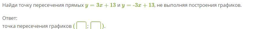
дам 100 баллов срочно помогите
Приложения:
Ответы
Автор ответа:
0
Объяснение:
это просто вместо х ставите любые числа и решаете
Приложения:
Похожие вопросы
Предмет: Физика,
автор: dsads40
Предмет: Математика,
автор: bnikitenko572
Предмет: Математика,
автор: azatbayanov3
Предмет: География,
автор: Timarj
Предмет: География,
автор: nikamaier