Предмет: Алгебра,
автор: StepaniukArtem
Помогите. Даю 18 баллов. 9 класс. Тема: Свойства функции. Преобразование графиков функций. Квадратичная функция
Задание
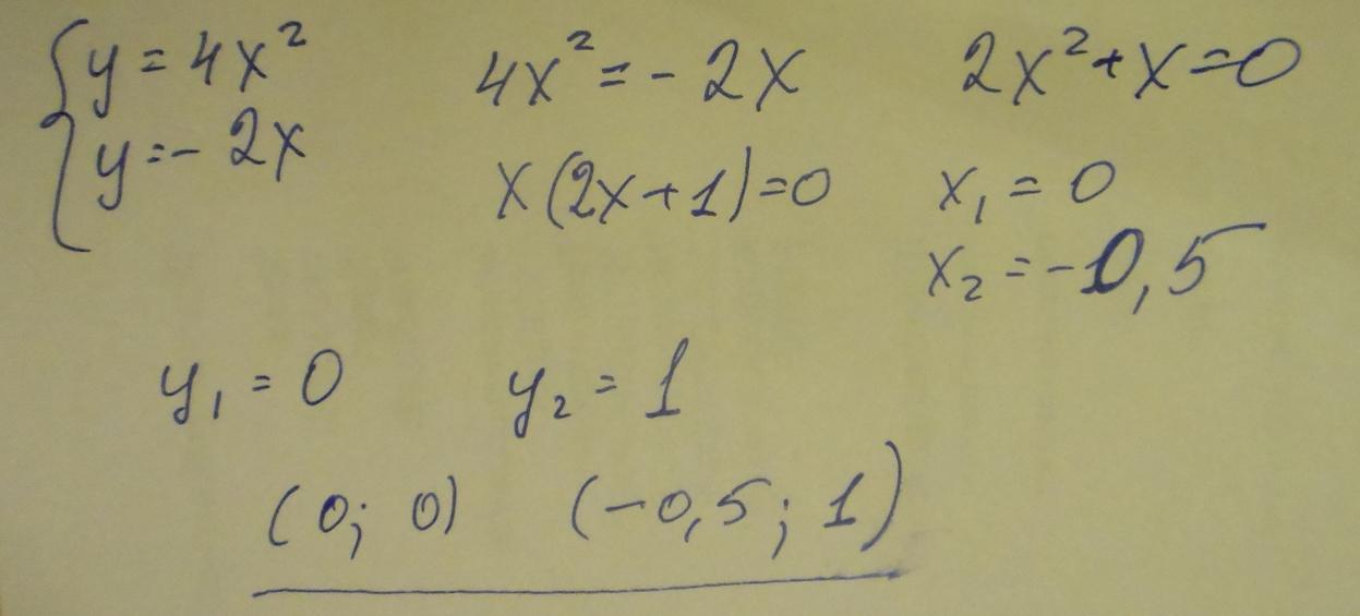
Не выполняя построений, найдите точки пересечения графиков функций
и
.
Ответы
Автор ответа:
1
!!!!!!!!!!!!!!!!!!!!!!!!!!!!!!!!!!!!!!
Приложения:
Похожие вопросы
Предмет: Геометрия,
автор: temnamasa
Предмет: География,
автор: sologubsolomia8
Предмет: Другие предметы,
автор: popeskukatetr
Предмет: Физика,
автор: Vaniok1966
Предмет: Алгебра,
автор: даня1112