Предмет: Алгебра,
автор: dla10
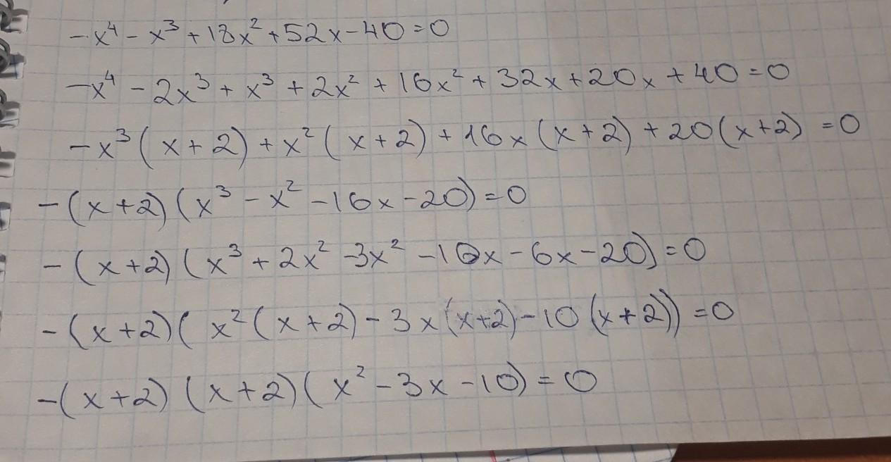
-x^4-x^3+18x^2+52x-40=0
помогите Умоляю
Ответы
Автор ответа:
0
фото тебе в помощь))))
Приложения:
Похожие вопросы
Предмет: Алгебра,
автор: kelazutkin
Предмет: Английский язык,
автор: Tiram
Предмет: Информатика,
автор: Python444
Предмет: Физика,
автор: Derrick
Предмет: Литература,
автор: agafonovleva1