Предмет: Математика,
автор: Jujutopl
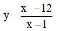
Исследовать функцию и построить ее график:
Приложения:
Ответы
Автор ответа:
0
Ответ:
Пошаговое объяснение:
Приложения:
Похожие вопросы
Предмет: Физика,
автор: Jisjsisiissikw
Предмет: Химия,
автор: Sppddpspprdksjwkdk
Предмет: Алгебра,
автор: fatima9845
Предмет: Математика,
автор: malenki1488
Предмет: Математика,
автор: ярославгарышев