Предмет: Математика,
автор: Vovan1191
Как это решить?
Затрудняет комплексно сопряженное число
Приложения:
Ответы
Автор ответа:
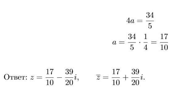
1
Если будут какие-нибудь вопросы — задавайте. Если моё решение оказалось полезным, нажимайте «спасибо» и отмечайте его как «лучший ответ».
Приложения:
Vovan1191:
Вы откуда-то взяли этот материал? Если да, то пожалуйста, подскажите источник, я буду невероятно благодарен!
Я сам это набирал в latex'e :)
Понятно, но всё равно спасибо)
А проверить решение можете, например, в wolfram alpha, набрав solve (5+4i)(a+b*i)+a-b*i=18-i over the reals
Если умеете пользоваться latex'ом, могу сбросить исходник
Спасибо, не затрудняйтесь, если что, обращусь к Вам)
пожалуйста
Похожие вопросы
Предмет: Химия,
автор: Аноним
Предмет: Физика,
автор: denisyuk2000ok
Предмет: Английский язык,
автор: 4198323
Предмет: Биология,
автор: kirillmarishin
Предмет: Математика,
автор: kigr2345