Предмет: Алгебра,
автор: HopiTakeo
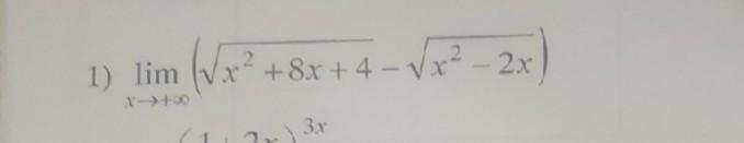
Математический аназиз. Вычислить предел.
Приложения:
Ответы
Автор ответа:
1
Посмотрите предлооженный вариант, по возможности перепроверьте результат в других источниках.
Приложения:
Похожие вопросы
Предмет: Обществознание,
автор: milbont
Предмет: Алгебра,
автор: lastepsey
Предмет: Математика,
автор: cursinpavel470
Предмет: Математика,
автор: Рома22866613255