Предмет: Математика,
автор: kokokossska
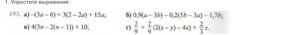
Упростите выражения пожалуйста
Приложения:
Ответы
Автор ответа:
1
Ответ:
Пошаговое объяснение:
Приложения:
Похожие вопросы
Предмет: География,
автор: alinja29999
Предмет: Физика,
автор: deniskononenko200813
Предмет: Математика,
автор: starik0911
Предмет: Математика,
автор: Куроко68
Предмет: Математика,
автор: Уколова10