Предмет: Математика,
автор: 090909260
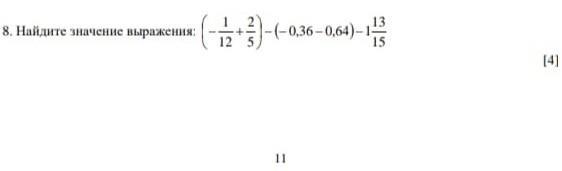
Помогите пожалуйста у меня завтра Сор
Приложения:
Ответы
Автор ответа:
1
Ответ: будет 419 я так посчитала
Пошаговое объяснение:
090909260:
спасибо
а как решалось?
Похожие вопросы
Предмет: Математика,
автор: kievilia1990
Предмет: Физкультура и спорт,
автор: lozgacevaanna05
Предмет: Английский язык,
автор: armek228
Предмет: Химия,
автор: Милашка0198
Предмет: Химия,
автор: Tem12345