Предмет: Физика,
автор: nikita1854
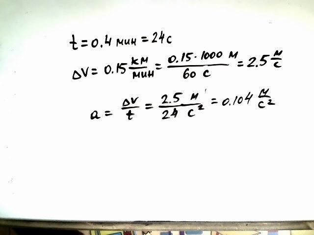
Определите ускорение тела,если его скорость, за 0,4 минуты изменилась на 0,15 км/мин.
Ответы
Автор ответа:
2
Ответ:
Объяснение:
Определите ускорение тела,если его скорость, за 0,4 минуты изменилась на 0,15 км/мин.
Приложения:
Похожие вопросы
Предмет: Русский язык,
автор: artem561466
Предмет: Физика,
автор: mursalisiya17
Предмет: Геометрия,
автор: Аноним
Предмет: Математика,
автор: троллолыч
Предмет: Биология,
автор: hhfkbdy