Предмет: Алгебра,
автор: VIRUSgameYT
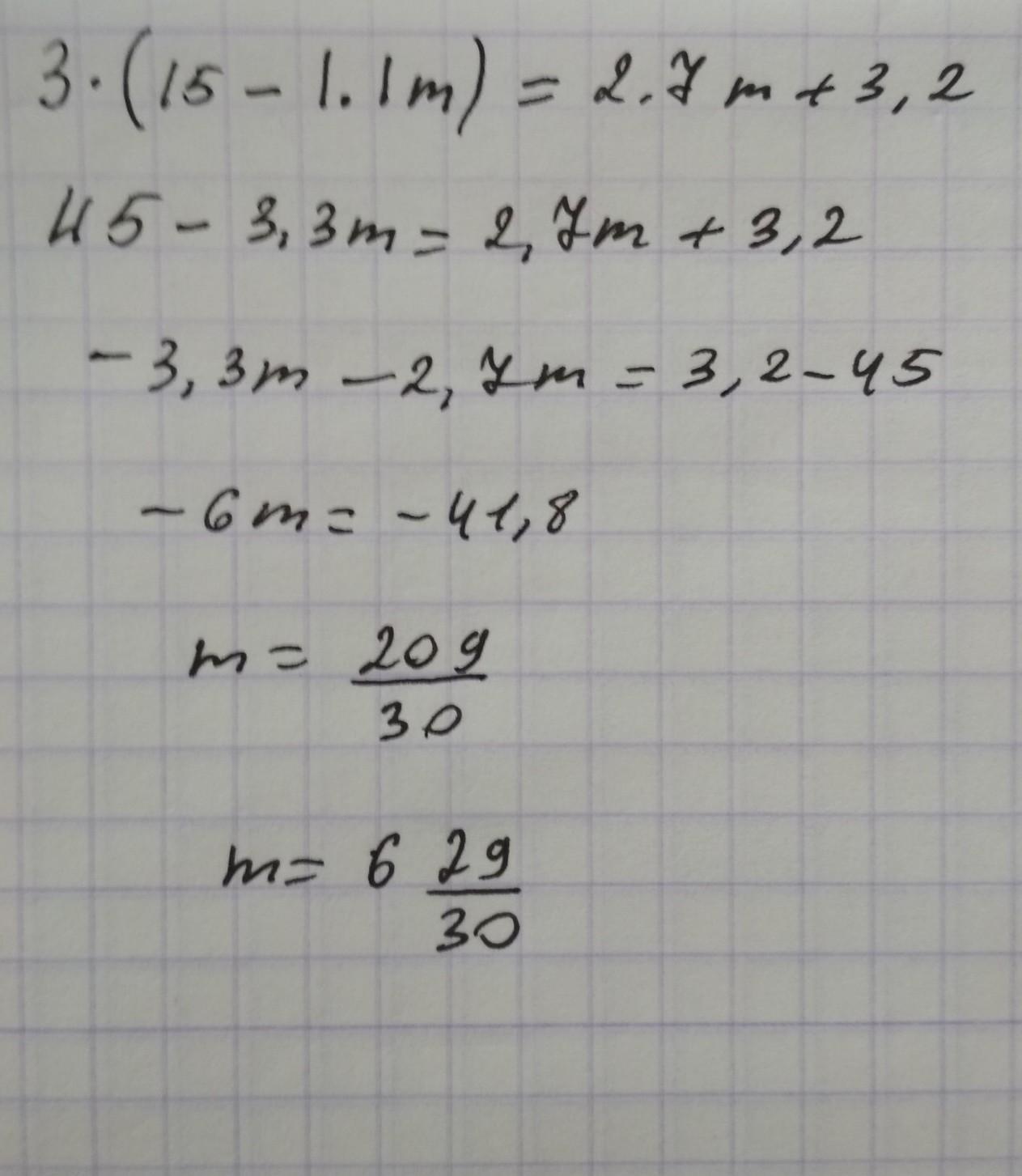
3( 15 −1.1m)=2.7m+3.2
226
ZLOYTIGROVSKIY:
Что означает число 226
Ответы
Автор ответа:
4
Ответ:
Смотрите вложение
~•~•~•ZLOY_TIGROVSKIY~•~•~•
Приложения:
Похожие вопросы
Предмет: Литература,
автор: Kookmin13naomi
Предмет: Математика,
автор: timurgalimov1310
Предмет: Химия,
автор: mrast
Предмет: Математика,
автор: dghklg9
Предмет: Математика,
автор: каролина129