Предмет: Математика,
автор: rashkost06
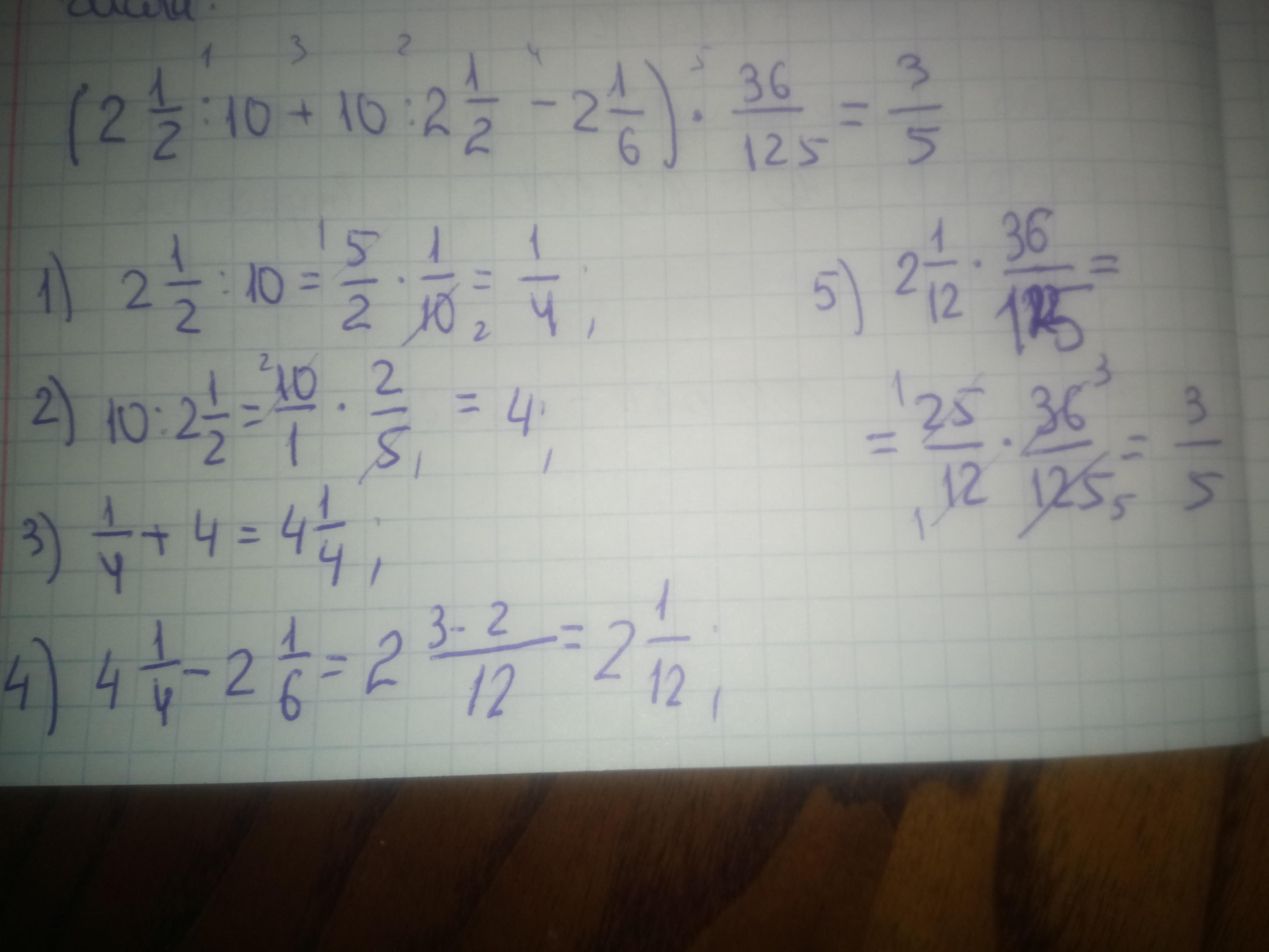
Помогите решить пример
Приложения:
Ответы
Автор ответа:
1
Решение задания приложено
Приложения:
Похожие вопросы
Предмет: Математика,
автор: miskfrede172
Предмет: Математика,
автор: annamikianna123321
Предмет: Математика,
автор: bileni44444ka44444
Предмет: Математика,
автор: Andrpksus
Предмет: Математика,
автор: saryeva1771