Предмет: Алгебра,
автор: kellalina
Решить систему уравнений
Ответы
Автор ответа:
1
{х³-у³=65
{х²у-ху²=-20
{(х-у)(х²+ху+у²)=65
{ху(х-у)=-20
(х-у)(х²+ху+у²)/(ху(х-у)=65/-20
(х²+ху+у²)/(ху)=-13/4
х/у+1+у/х=-13/4
х/у=а
а+1/а+1+13/4=0
а+1/а+17/4=0
4а²+4+17а=0
4а²+17а+4=0
Д=289-64=225=15²
а=(-17±15)/8
а1=-4;а2=-1/4
1){х/у=-4
{ху(х-у)=-20
2){х/у=-1/4
{ху(х-у)=-20
{х²у-ху²=-20
{(х-у)(х²+ху+у²)=65
{ху(х-у)=-20
(х-у)(х²+ху+у²)/(ху(х-у)=65/-20
(х²+ху+у²)/(ху)=-13/4
х/у+1+у/х=-13/4
х/у=а
а+1/а+1+13/4=0
а+1/а+17/4=0
4а²+4+17а=0
4а²+17а+4=0
Д=289-64=225=15²
а=(-17±15)/8
а1=-4;а2=-1/4
1){х/у=-4
{ху(х-у)=-20
2){х/у=-1/4
{ху(х-у)=-20
Автор ответа:
1
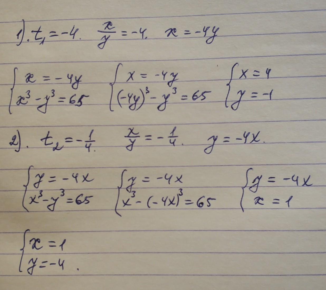
Ответ:
х1=4, у1=-1
х2=1, у2=-4
Объяснение:
решение во вложении
Приложения:
Похожие вопросы
Предмет: Литература,
автор: zuriadvaitova
Предмет: Алгебра,
автор: viktoriaborij59
Предмет: Математика,
автор: matviecdasa3
Предмет: Математика,
автор: байрамукова