Предмет: Алгебра,
автор: cpam
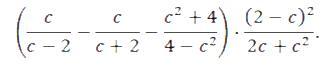
Упростите выражение (очень срочно)
Приложения:
cpam:
Только подробно, если можно
Ответы
Автор ответа:
1
Если будет непонятно, объясню подробно
Приложения:
Похожие вопросы
Предмет: Литература,
автор: maksvolynskij2010
Предмет: Математика,
автор: tany7365
Предмет: Литература,
автор: a1639253q
Предмет: Математика,
автор: Аноним
Предмет: Математика,
автор: Oly1dyhdv