Предмет: Математика,
автор: 123gordeev
Срочно, нужно решение этих заданий
Приложения:
Ответы
Автор ответа:
1
Ответ:
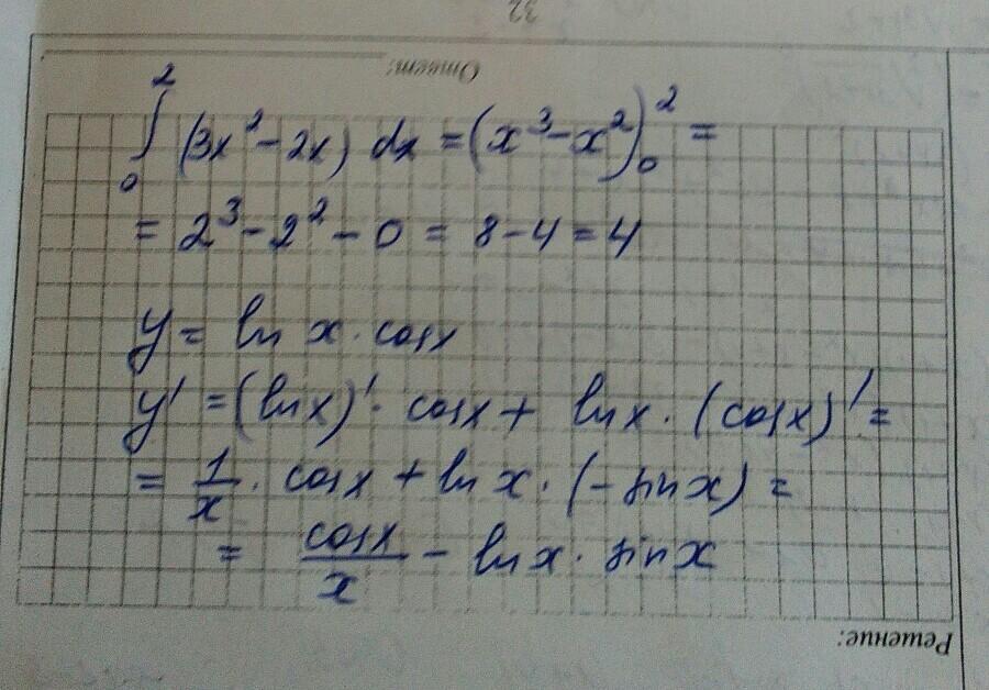
решение представлено на фото
Приложения:
Автор ответа:
0
Интеграл равен х³-х², подставим пределы интегрировании
2³-2²-0+0=8-4=4
(uv)'=u'v+uv'
(㏑x*(cosx))'=(cosx)/x-sinx*(㏑x)
Похожие вопросы
Предмет: Математика,
автор: aluaalua7192
Предмет: Математика,
автор: kira21411
Предмет: Математика,
автор: nastyakirilenk8963
Предмет: Математика,
автор: Аноним