Предмет: Алгебра,
автор: kkiler82
Помогите найти производную функции
Приложения:
Ответы
Автор ответа:
0
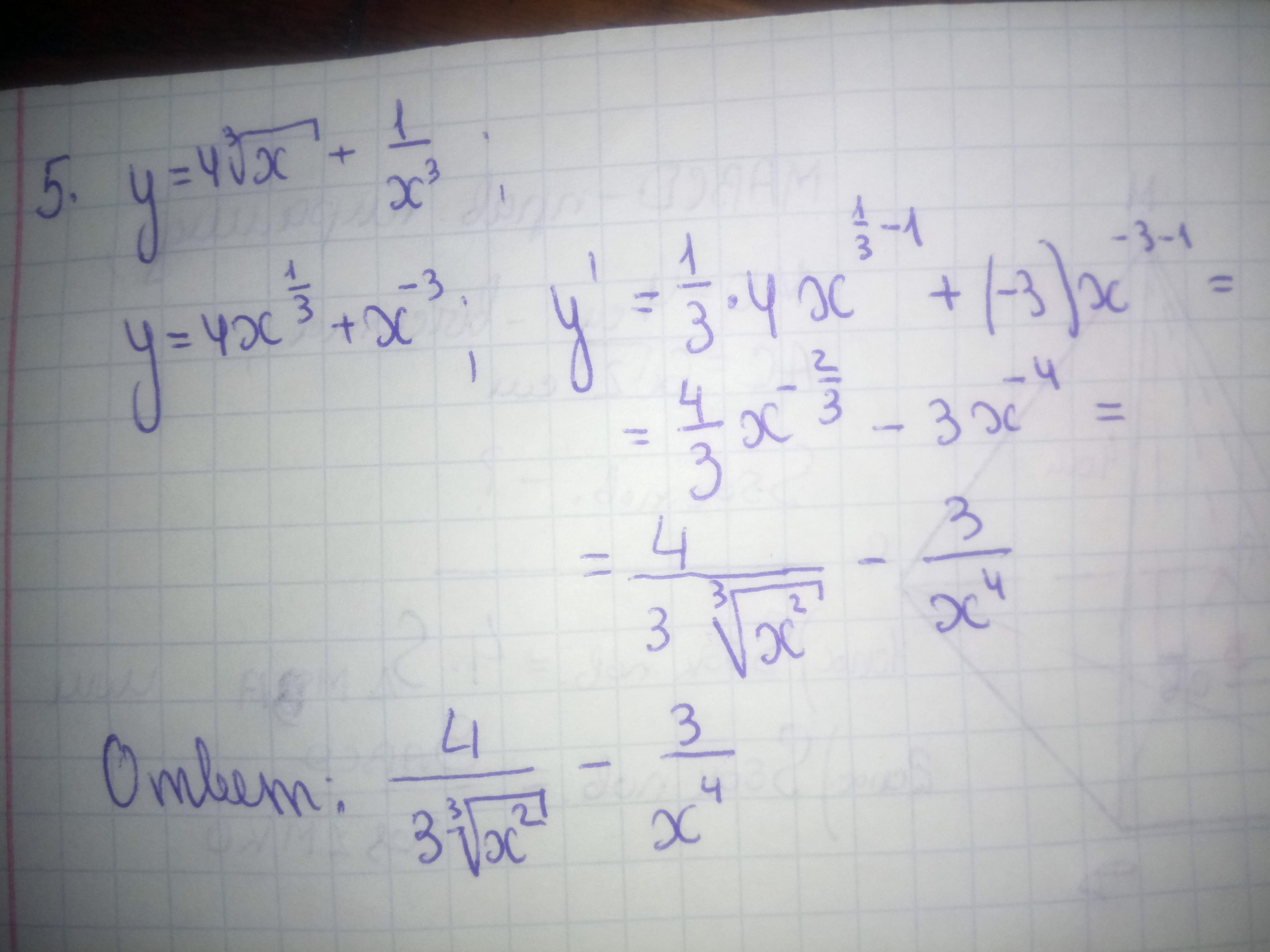
Решение задания приложено
Приложения:
Автор ответа:
0
Ответ:
4/3)*/x^(2/3)-3/(x^4)
Объяснение:
Перепишем выражение 4*x^(1/3)+x^(-3)
Производная : 4*1/3*x^(-2/3)-3x^(-4)
или (4/3)*/x^(2/3)-3/(x^4)
здесь x^a - х в степени а
iosiffinikov:
Да, конечно, спасибо!
Похожие вопросы
Предмет: Другие предметы,
автор: polalya1602
Предмет: Английский язык,
автор: Alenalyly
Предмет: Математика,
автор: FLOPPATHEBIG
Предмет: Математика,
автор: marygaydarjy
Предмет: Биология,
автор: гриша117