Предмет: Математика,
автор: Аноним
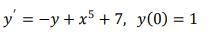
Просьба помочь с решением уравнения! 81б Найти первые три ненулевых члена разложения в ряд Маклорена решения
данного дифференциального уравнения.
Приложения:
Ответы
Автор ответа:
1
y(x) = a0 + a1 * x + a2 * x^2 + ...
y(0) = a0 = 1
y' = -y + x^5 + 7
a1 + 2*a2*x + 3*a3*x^2 + ... = (7-a0) - a1*x - ... - a4*x^4 + (1 - a5)*x^5 - a6*x^6 - ...
a0 = 1
a1 = 7 - a0 = 6
2*a2 = -a1 = -6 -> a2 = -3
y = 1 + 6x - 3x^2 + ...
Похожие вопросы
Предмет: Математика,
автор: FAVORITE3759
Предмет: Математика,
автор: msterbony6716
Предмет: Математика,
автор: ayna2488
Предмет: История,
автор: ksyyyy25
Предмет: Биология,
автор: ксюша1192