Предмет: Математика,
автор: Аноним
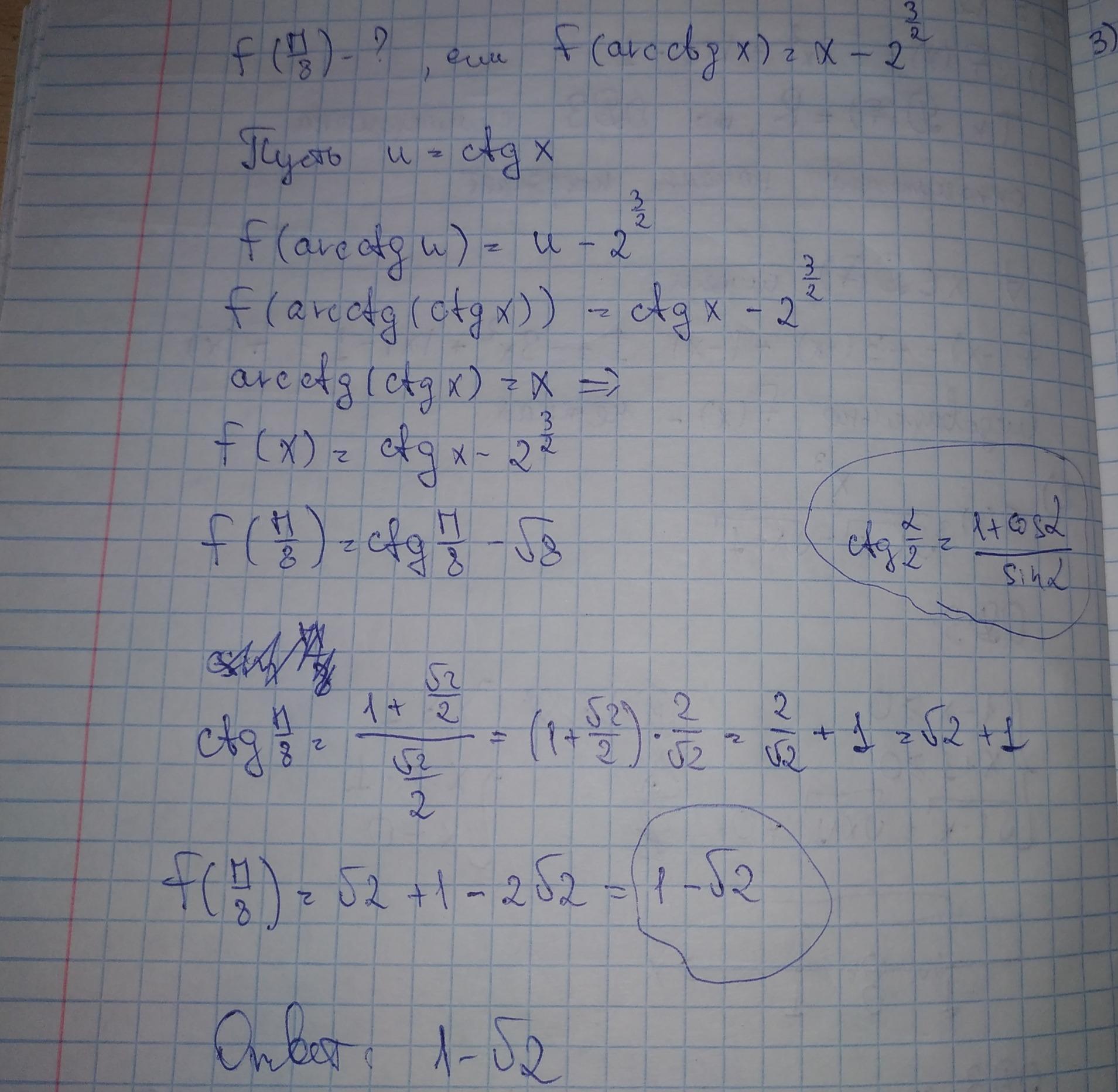
Найдите f(п/8), если f(arcctgx)= x - (2)^3/2
Ответы
Автор ответа:
1
////////////////////////////////////
Приложения:
Похожие вопросы
Предмет: Геометрия,
автор: viktorvine854
Предмет: Физика,
автор: ywrvhzcxjr
Предмет: Математика,
автор: ТвойНочнойКошмар
Предмет: Математика,
автор: dianochkaaaaaaaaaaaa