Предмет: Математика, автор: arinakuznecova512

вычислите пример пожалуйста​

Приложения:

Ответы

Автор ответа: daniilzhulanov
0

Привет!

0,1*20/45-2 17/30 = 1/10 * 20/45 - 77/30 = 2/45-77/30 = -227/90= -2 47/90


daniilzhulanov: будет
daniilzhulanov: 1/10 * 20/45 - 17/15
daniilzhulanov: = 2/45 - 17/14 = 2/45 - 51/45 = -49/45
daniilzhulanov: Где у меня ошибка в решении? ее нет
daniilzhulanov: Миллион раз уже перепроверил
daniilzhulanov: господи,аааааа!!!!!
daniilzhulanov: Спасибо))
Автор ответа: Аноним
1

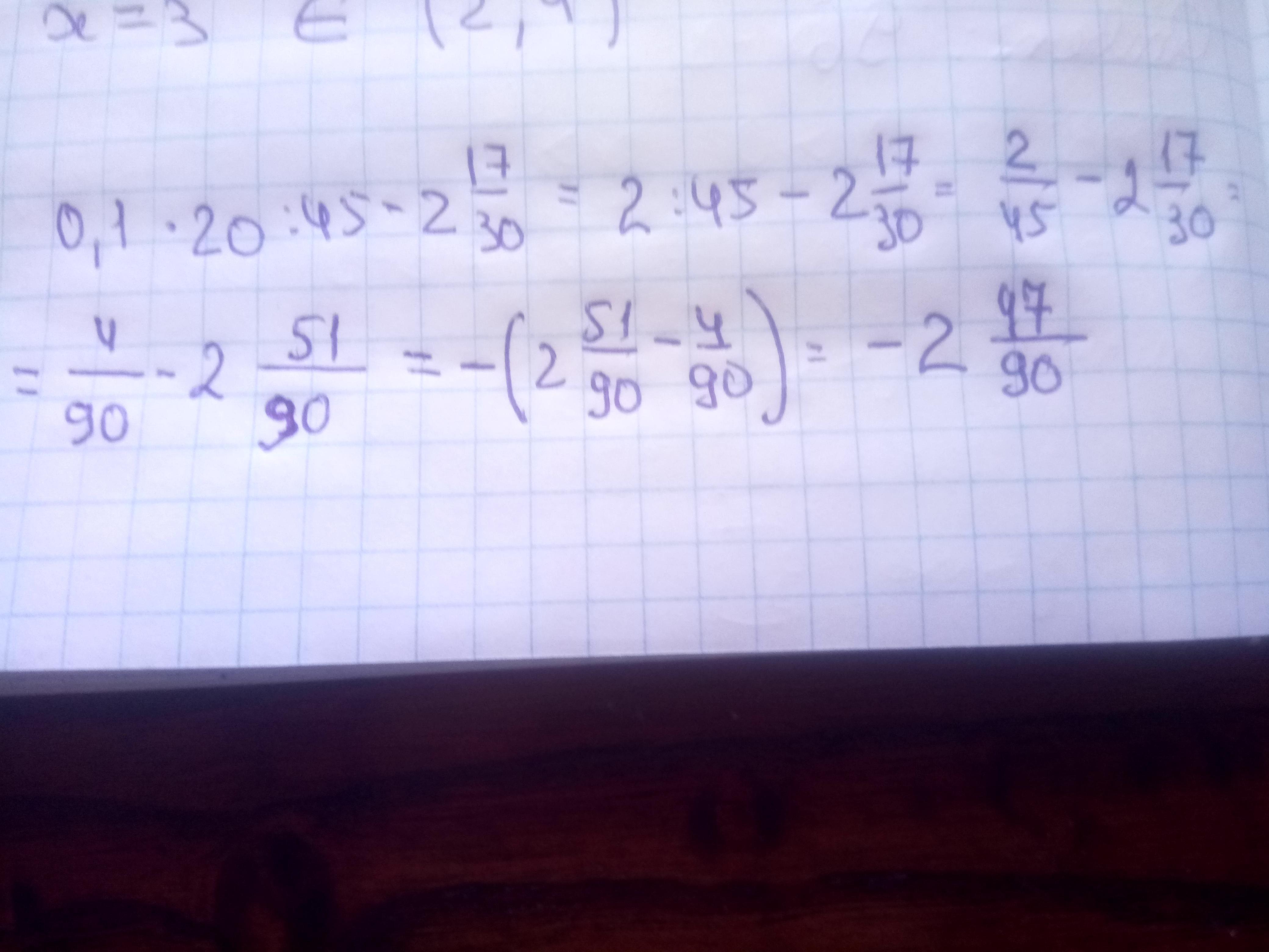
Решение задания приложено

Приложения:
Похожие вопросы
Предмет: Қазақ тiлi, автор: Idonovichok4533
Предмет: Английский язык, автор: alexminaev
Предмет: Математика, автор: imilhakirov