Предмет: Алгебра,
автор: kazakovaaelita
Вычислить определенный интеграл:
Приложения:
Ответы
Автор ответа:
1
Ответ:
решение прикреплено
Объяснение:
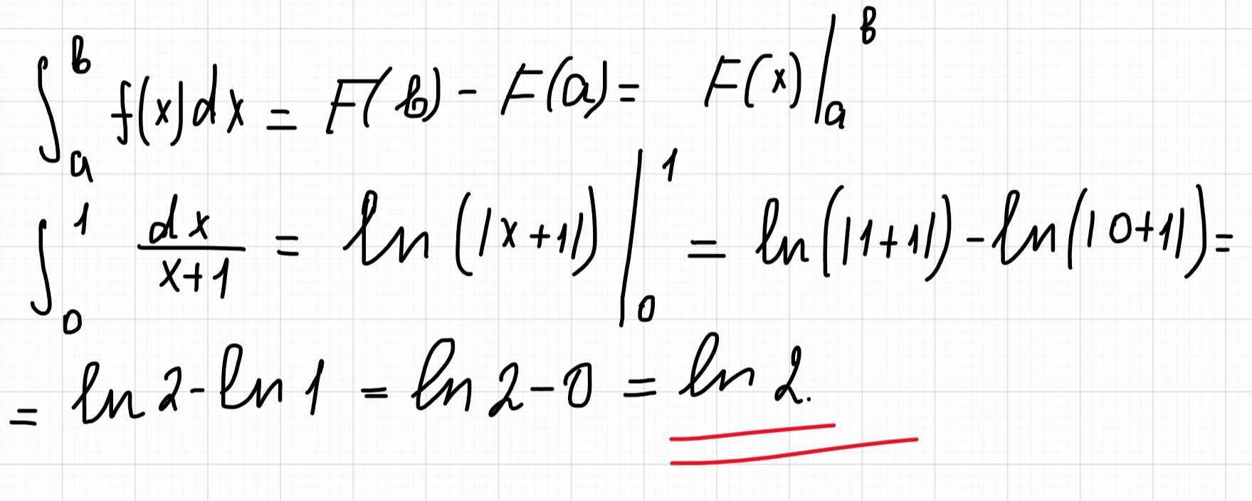
Решаем с помощью формулы Ньютона-Лейбница.
Приложения:
Похожие вопросы
Предмет: Английский язык,
автор: Shaihiagzamovaluzia
Предмет: Химия,
автор: nazarkokokils
Предмет: Английский язык,
автор: vikaashvet9058
Предмет: Биология,
автор: Maria1231111
Предмет: Математика,
автор: DonatikM