Предмет: Математика,
автор: games96
Очень нужно, уровненные первого порядка , экзамен
Приложения:
Ответы
Автор ответа:
0
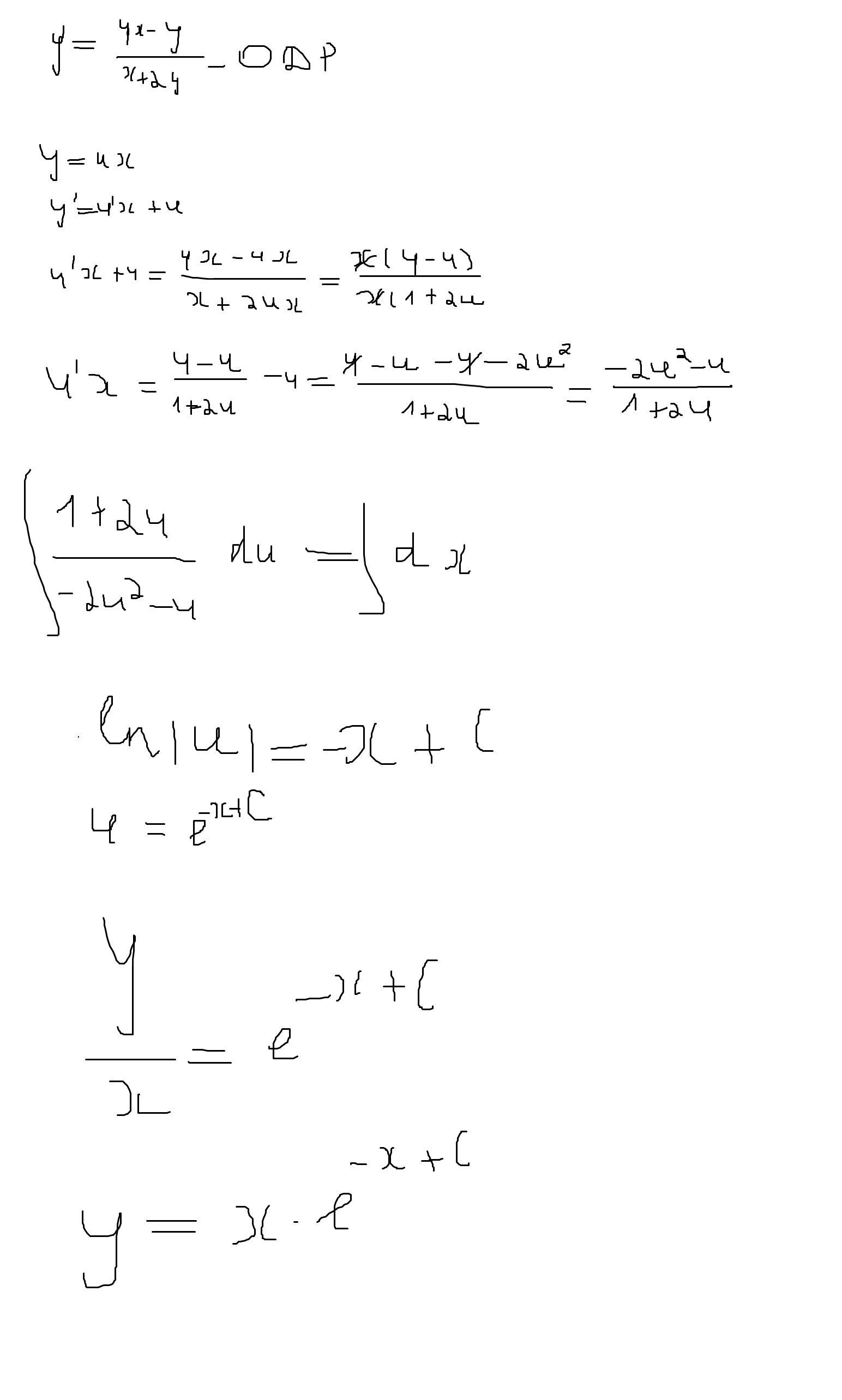
Ответ:
Пошаговое объяснение:
вот
Приложения:
Похожие вопросы
Предмет: Биология,
автор: vitaliktigr
Предмет: Литература,
автор: myaska9002
Предмет: Геометрия,
автор: bezimeni50
Предмет: Математика,
автор: 13454245
Предмет: Математика,
автор: gybinnikita