Предмет: Математика,
автор: kristi2101
ПОМОГИТЕ ,ДАЮ 30 БАЛЛОВ!!!
Приложения:
Ответы
Автор ответа:
1
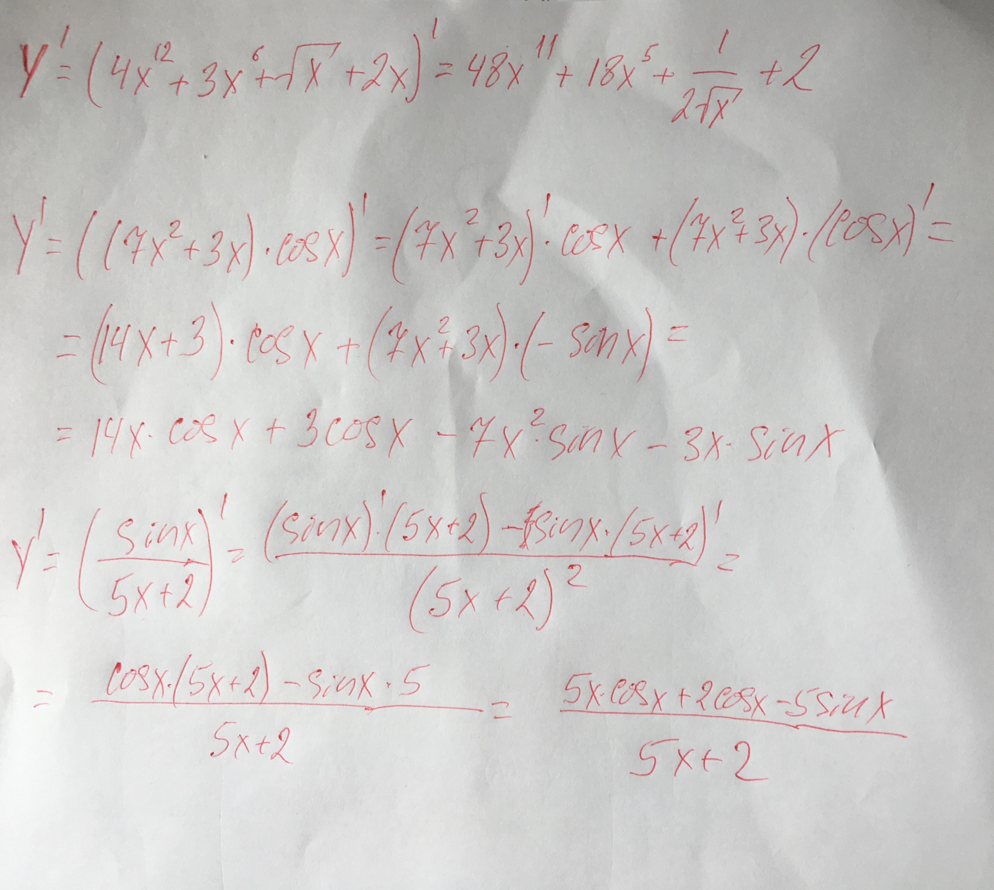
Ответ:
В прикрепленном файле
Пошаговое объяснение:
Приложения:
kristi2101:
Спасибо большое !!!
Похожие вопросы
Предмет: Физика,
автор: Karina16060
Предмет: Биология,
автор: semenukmargarita95
Предмет: Математика,
автор: Stanislavkuchugurnyy
Предмет: Математика,
автор: hoypolloi
Предмет: Математика,
автор: vetas82