Предмет: Математика,
автор: maximshotin
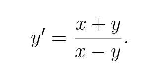
Помогите решить дифференцированное уравнение
Приложения:
Ответы
Автор ответа:
3
Посмотрите предложенный вариант.
Приложения:
Похожие вопросы
Предмет: Физика,
автор: grisenkovalerij80
Предмет: Українська література,
автор: olyatitenko0104
Предмет: История,
автор: Kamila010311
Предмет: Обществознание,
автор: rippleyt
Предмет: Математика,
автор: Аноним