Предмет: Алгебра,
автор: MarryCay
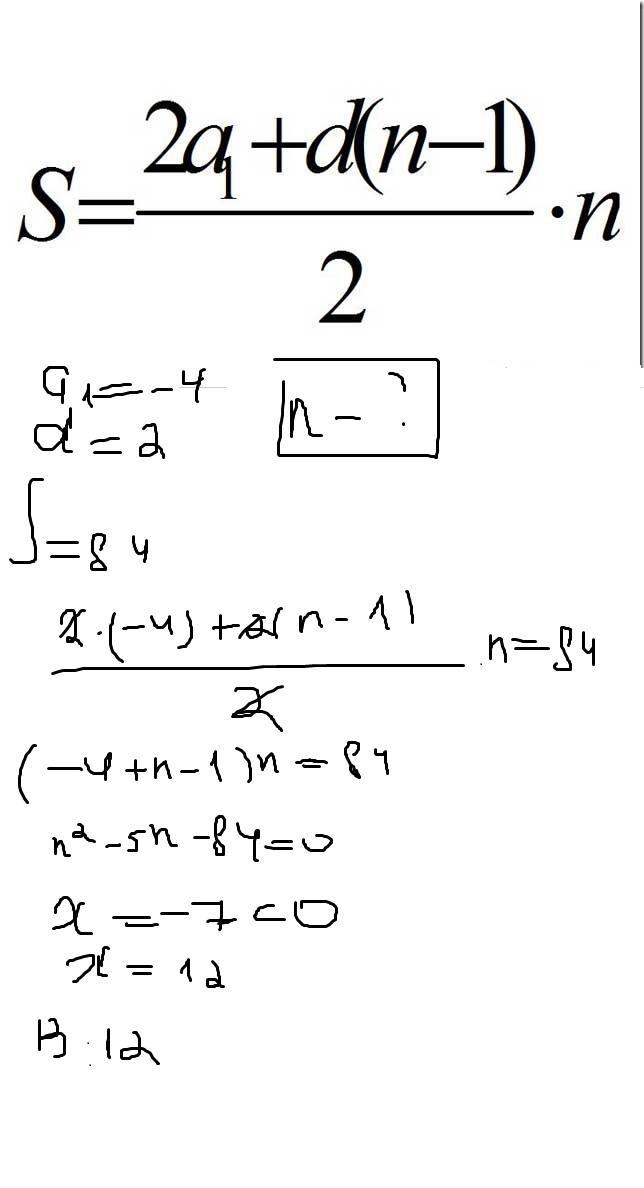
Перший член арифметичної прогресії дорівнює -4, а її різниця дорівнює 2. Скільки треба взяти перших членів прогресії, щоб їх сума дорівнювала 84?
Ответы
Автор ответа:
3
Ответ:
Объяснение:
ось
Приложения:
Похожие вопросы
Предмет: Алгебра,
автор: gonitrek78
Предмет: Английский язык,
автор: fire19891
Предмет: Английский язык,
автор: ppomogii
Предмет: Литература,
автор: Матюшка2004
Предмет: Математика,
автор: toliasik0475