Предмет: Математика,
автор: akishin2001
(B4).вычислите предел: на фото
с инета не пойдёт
Приложения:
Ответы
Автор ответа:
1
А так сойдет? Вроде как решал сам раскрывая скобки.
Приложения:
Автор ответа:
1
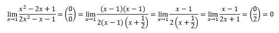
x² - 2x + 1 = (x - 1)²
2x² - x - 1 = (x + 1/2)(x - 1) = (2x + 1)(x - 1)
D = 1 + 8 = 9
x12=(1 +- 3)/4 = -1/2 1
======
lim(x->1) (x² - 2x + 1) / (2x² - x - 1) = lim(x->1) (x - 1)² / (2x + 1)(x - 1) = lim(x->1) (x - 1) / (2x + 1) = (1 - 1)/(2 + 1) = 0/3 = 0
Похожие вопросы
Предмет: Математика,
автор: weeeeeez
Предмет: Українська література,
автор: milanasalimonenko41
Предмет: Физика,
автор: dimaboyko93
Предмет: Биология,
автор: svs25017101
Предмет: Физика,
автор: ZimuchkinaPolina