Предмет: Алгебра,
автор: alicefabrua
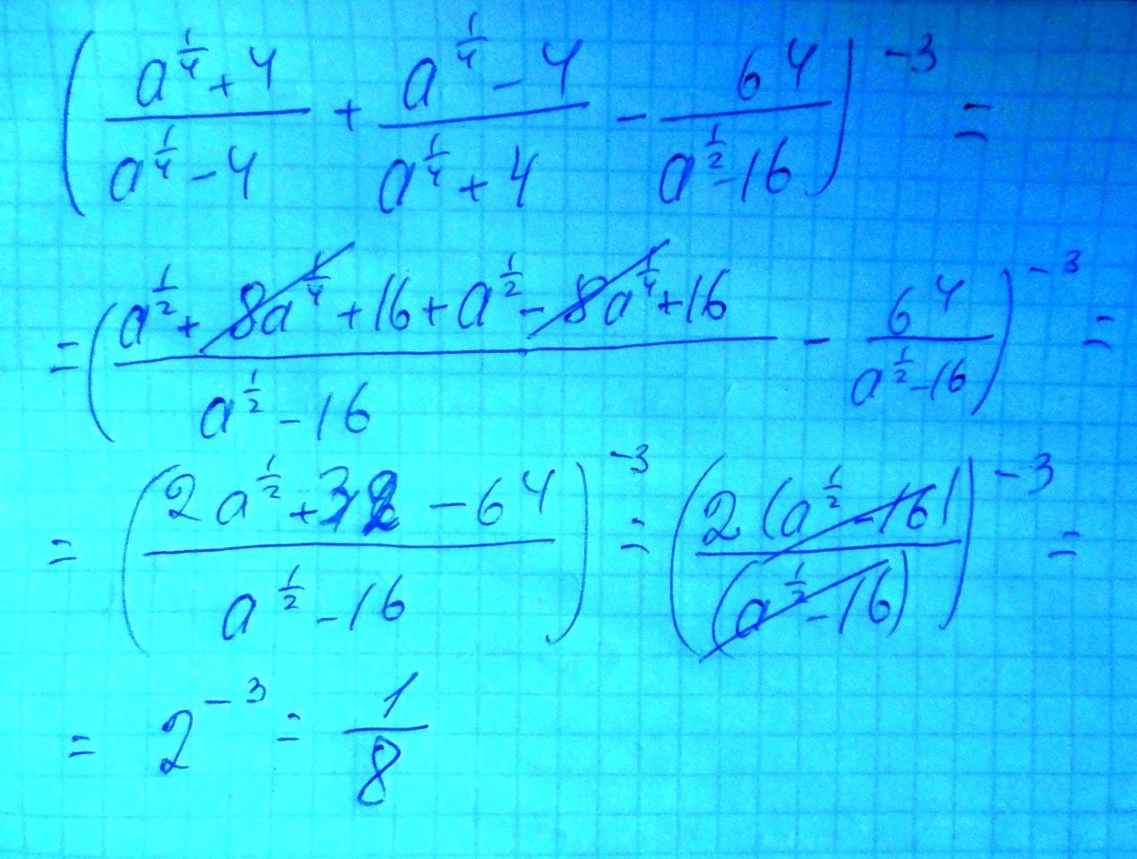
Помогите решить пожалуйста!!!
Приложения:
Ответы
Автор ответа:
1
!!!!!!!!!!!!!!!!!!!!!!!!!!!!!!!
Приложения:
Похожие вопросы
Предмет: Математика,
автор: olya01075689643
Предмет: История,
автор: Аноним
Предмет: Физика,
автор: zlobinaa515
Предмет: Музыка,
автор: Аноним
Предмет: Музыка,
автор: nika270476