Предмет: Алгебра,
автор: suprim16suprim
решите срочно очень пж
Приложения:
Ответы
Автор ответа:
0
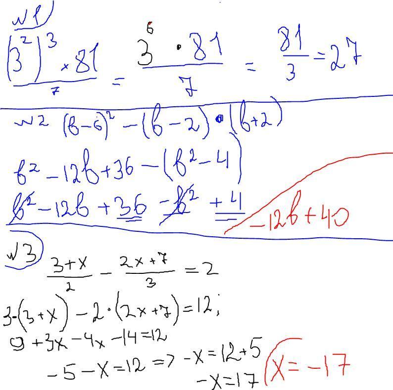
Ответ:
Во вложении
Объяснение:
Приложения:
Похожие вопросы
Предмет: Математика,
автор: Natalya15072010
Предмет: Українська мова,
автор: romanmanko349
Предмет: Математика,
автор: darasidorenko667
Предмет: Физика,
автор: r20Ilyshka02r
Предмет: История,
автор: dsamborskaya