Предмет: Математика,
автор: Vlad22322
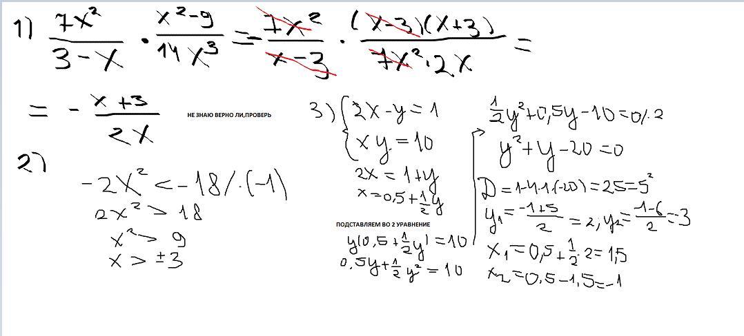
Помогите решить пожалуйста
Приложения:
Ответы
Автор ответа:
0
только к 3,извини,нет времени.
Приложения:
Похожие вопросы
Предмет: Алгебра,
автор: ttrafika
Предмет: Другие предметы,
автор: 2630margo
Предмет: Қазақ тiлi,
автор: whitefoxplaykitsune
Предмет: Физика,
автор: 8676788Ksyu
Предмет: Алгебра,
автор: simbirkina15